CAIN: Key Issues - Housing. Majority Minority Review 3: Housing and Religion in Northern Ireland, by Martin Melaugh


CAIN Web Service

Majority Minority Review 3: Housing and Religion in Northern Ireland, by Martin Melaugh



[CAIN_Home]
[Key_Events] Key_Issues] [Conflict_Background]

Text: Martin Melaugh ... Page Compiled: Fionnuala McKenna
Material is added to this site on a regular basis - information on this page may change

Majority Minority Review 3
Housing and Religion in Northern Ireland

Section 7: Survey Information


INTRODUCTION

The intention in this Section is to examine the results from a number of different surveys which provide information on housing circumstances in Northern Ireland. In recent years in the region there has been an increase in the number of regular surveys designed to collect information on households or individuals. Three of the best known sets of survey results are considered in this section. The first is the Continuous Household Survey conducted annually by the Policy Planning and Research Unit (PPRU) of the Department of Finance and Personnel. The second is from the Northern Ireland Social Attitudes Survey, the first of which was conducted in 1989. Finally, the results of two of the more recent surveys to be carried out by the NIHE, which for the first time included religion as a variable, are also considered.


THE CONTINUOUS HOUSEHOLD SURVEY

The reports of the Continuous Household Survey (CHS) represent an important source of information on households in Northern Ireland[1]. The fieldwork for the CHS has been carried out annually since 1983 and PPRU Monitors containing details of the results of each survey have been published since 1984. The reports contain household information including size and composition, and also information on housing characteristics including tenure and amenities. While the surveys are based on a sample of Northern Ireland households the information they contain supplements and complements the data available from the Census reports and the House Condition Surveys. In a few aspects the information in the CHS differs from other housing data; for example, it asks questions about the immediate environment of the dwelling and also includes questions about the respondents' satisfaction with their homes.

PPRU has published three special reports giving details of information broken down by religion[2].

These were produced in 1985 (PPRU 1985) covering data collected during the years 1983 and 1984, in 1989 (PPRU 1989) examining data for 1985, 1986 and 1987, and in 1993 (PPRU 1993) considering data collected during 1988, 1989-90, and 1990-91.

The information in the CHS charts a number of gradual changes in the characteristics of Households in Northern Ireland. The decline in the average size of households from 3.14 persons in 1983 to 2.91 in 1990-91 has obvious implications as to the extent and nature of demand for housing in the region. Part of the decline in average household size is a result of the increase in the proportion of single person households. This type of change in household size requires an increased housing stock even if there has been no increase in the size of the population. The CHS data confirms that average Catholic households continue to remain significantly larger than average Protestant households; 3.4 compared to 2.7 persons respectively (PPRU 1993). Differences in family structure are also reported with Catholics households more likely to contain young children and Protestant households more likely to contain only adults or to have at least one adult over 60 years of age. Other differences related to family structure include items such as Catholic women expressing a larger ideal family size than Protestant women.

The data on housing tenure confirms the general picture of Catholic households being less likely to be owner occupiers and more likely to be in the public rented sector than Protestant households: see Figure 7.1. The information also shows the general move to increased owner occupation in the region. It would appear from the data that this was more rapid during the end of the period under consideration. Particularly in the case of Catholic households there has been a marked increase in the proportion of owner occupiers and an apparent increase in the size of the public rented sector. Some of these changes will be accounted for by increases in the size of the total housing stock. ie level of owner occupation among Catholic households at the end of the 1980s was still slightly below the Protestant figure for the beginning of the period.

Figure 7.1 Percentage of households in each tenure group,
Catholic and Protestant households, 1983-84 and 1988-91

Data for Figure 7.1

The CHS provides information on the bedroom standard that is not normally available from other sources. This is a more satisfactory measure of how well dwelling size matches household size than the simple density of occupation. The advantage of the bedroom standard is that it takes account of the age and sex structure of the household and the number of available bedrooms. The standard is the same as that applied in the General Household Survey (GHS) in Britain and is based on a series of rules for determining the theoretical number of bedrooms needed by the particular household. It is then possible to decide if the household has more, fewer or the same number of bedrooms as the standard.

Data for all households show a decline in the level of overcrowding, those living below the bedroom standard, during the period 1983-84 to


1988-91. The situation for the two communities is presented in Figure 7.2 which contains information on the bedroom standard obtained from the three Religion Reports. It is clear that Catholic households in particular have improved markedly with the percentage living below the bedroom standard dropping from 16 per cent in 1983-84 to 10 per cent in 1988-91. Relatively speaking there are still significant differences between Catholic and Protestant households; 10 per cent and 4 per cent respectively. It is also clear from Figure 7.2 that Protestant households are more likely to live in dwellings which are one or more bedrooms above the standard. When asked in 1983-84 for their opinion about the size of their accommodation 16 per cent of Catholic households and 10 per cent of Protestant households said it was too small (PPRU 1985). These opinions reflect the more objective assessment of the bedroom standard.

Figure 7.2 Difference from bedroom stand, Catholic and Protestant households,
1983-84 to 1988-91

Data for Figure 7.2

While the most serious problem related to this issue is that of overcrowding, dwellings that are too large may also cause problems for some households. The household may not be able, for example, to afford to heat unoccupied rooms. This may in turn lead to problems of dampness due to condensation. This is only one reason why it is important to have a supply of housing, in each sector, which will allow for reasonably free movement of households to dwellings which more closely match their requirements.

Among a set of questions on heating and fuel households were asked for information on the availability of central heating within their dwelling. Figure 7.3 shows the level of central heating by religion of households during the period 1983-84 to 1988-91. This information confirms data from the Census and the HCS which show increased availability of central heating and also a narrowing of the gap between Catholic and Protestant households.

Figure 7.3 Percentage of dwellings with central heating,
Catholic and Protestant households, 1983-84 to 1988-91

Data for Figure 7.3

Information is available from the first two Religion Reports (PPRU 1985Y 1989) on reports by the household of persistent problems with their accommodation. Figure 7.4 shows the position for Catholic and Protestant households. The most reported problems were draughts, condensation and dampness. There were however improvements in each of these items between 1983-84 and 1985-87. The diagram also shows that Catholic households were more likely to report these problems and there was a significant difference in reports of dampness in 1983-84 between Catholic (28%) and Protestant (21%) households. Both groups reported an increased problem of road traffic over the period between the two reports which is probably consistent with the increasing numbers of vehicles in Northern Ireland.

Figure 7.4 Percentage of households reporting persistent problems with
accommodation, Catholic and Protestant, 1983-85 and 1985-87

Data for Figure 7.4

Other information which has been collected in the past includes assessments made by households of the facilities available in their immediate housing area. While the data in Figure 7.5 relates to the mid-l 980s it does show that Protestant households were more likely to report that public parks, children's play areas, and bus stops were 'close at hand'. Some of the facilities mentioned, for example community centres, are more widely available in urban areas and differences in the geographical spread of Catholics and Protestants may be responsible for the apparent differentials. There are, however, a number of urban areas which are badly served with facilities but more detailed data would be required to assess religious differences at this level.

Figure 7.5 Percentage of households reporting specified facilities close at hand,
Catholic and Protestant, 1984 and 1985


Data for Figure 7.5

It is difficult to obtain meaningful information related to a household's degree of satisfaction with its dwelling. Almost regardless of the actual physical condition a large majority of people will consistently express satisfaction with their home. Data from the CHS in 1983-84 and 1985 does show that while most people express satisfaction with their dwelling, there are some differences between Catholic (84%) and Protestant (89%) households. Correspondingly higher numbers Catholics (14%) express dissatisfaction than Protestants (10%). These results would certainly be consistent with some of the data presented earlier, for example the information in the Census reports which indicates lower level of amenity a service provision in Catholic dwellings.

Information on rent arrears (PPRU 1989) showed the problem to be declining during the 1980s. Whereas Catholic households in rented accommodation were more likely to report rent arrears than Protestant households during the early 1980s, by 1987 there appeared to be no significant difference between the two groups in this respect. A smaller percentage of households reported problems in paying their rates during this period and there were no significant differences between Catholics and Protestants.


THE NORTHERN IRELAND SOCIAL ATTITUDES SURVEY

An annual survey of social attitudes has been Conducted in Britain since 1983 and an extension of this survey to include Northern Ireland was made in 1989. Fieldwork for the Northern Ireland Social Attitudes Survey (NISAS) has been carried out in 1989, 1990, 1991 and 1993. Three books have so far been published on the results of this Northern Ireland survey and a fourth book is currently in preparation[3]. While the range of questions asked in the NISAS varies from one year to the next, there is always a set of core questions and these include items on the housing characteristics of those in the sample. Information is collected on characteristics such as tenure, housing type (terrace, detached, etc.) and length of residence. Respondents are also asked about satisfaction with their housing, their current view of the area where they live and how they think it is going to change, and about problems in their housing area. The 1989 survey contained a question on equity of treatment by the NIHE. Each report of the survey contains basic frequency tables based on responses to each question and chapters covering specific topics that give a breakdown of data by important classification variables. In the case of the data on housing a chapter in the second report (Stringer and Robinson 1992) included a breakdown of responses by religion.

A comparison of the breakdown of tenure between the 1991 House Condition Survey (HCS) (NIHE 1993) data and the 1990 NISAS (Stringer and Robinson 1992) data shows close agreement on this variable. The 1990 NISAS provided confirmation that the issue of housing was low on the social and political agenda. Only 7 per cent of respondents chose housing as a priority area for extra government spending. Similar questions in the Continuous Household Survey (CHS) draw similar responses.

Responses in the 1990 NISAS survey to the question of housing satisfaction, see Figure 7.6, were similar to those in the 1985 report of the CHS (PPRU 1985). Most respondents expressed satisfaction with their dwelling, and Protestants tended to express slightly higher levels of satisfaction than Catholics[4]. The main exception to the 1985 results was a slight drop in 1990 in the proportions of both Catholics and Protestants reporting dissatisfaction with their dwelling. This would be consistent with the continuing improvement in the general condition of dwellings between these years. As mentioned above the interpretation of high levels of expressed satisfaction with housing tends to be problematic. It would be unwise to assume that there is complete satisfaction with all characteristics of the dwelling. Expressed satisfaction tends however to be fairly stable over time and also similar from region to region within the United Kingdom.

Figure 7.6 Housing satisfaction by religion, 1990 Social Attitudes Survey

Data for Figure 7.6

The 1989 NISAS included a question on the equality of treatment of Catholics and Protestants by the NIHE, and the results were reported in the second report (Stringer and Robinson 1992). Overall 67 per cent of respondents felt that both communities were treated equally; 11.5 percent thought that Catholics were treated a bit or much better, while 8.1 per cent thought that Protestants were treated a bit or much better. There were clear distinctions between the responses to this question by religion and also differences between the main tenure groups. Figure 7.7 shows the responses to the question broken down by religion for all tenure groups. Of Catholic respondents 71 per cent though both groups were treated equally; in the case of Protestants the figure was 64 per cent. In each case significant proportions of one region said that the other was being treated better: 20 per cent of Protestants felt that Catholics were treated either a bit better or much better, and 16 per cent or Catholics stated the opposite.

Figure 7.7 Attidude concerning equality of treatment by the NIHE
by religion, all tenures


Data for Figure 7.7

When only those who were tenants of the NIHE are considered the results are slightly different: see Figure 7.8. While in each case the percentage of respondents claiming that those of the other religion are treated better remains much the same, there are fewer respondents who are unsure and more of both religions who feel the NIHE treats everyone equally. These figures are slightly at odds with information contained in one of the NIHE's own Public Attitudes Survey (NIHE 1990) which is considered below[5].

The 1990 survey data also revealed slight differences in the type of dwelling occupied by Catholics and Protestants. Catholics were less likely to live in detached (33%) or semi-detached (20%) houses than Protestants (36% and 23% respectively), and much more likely to be living in terraced housing (39%) than Protestants (31%). There were no significant differences among those living in flats or other housing types. These differences are readily explained in terms of the relationship between housing tenure and housing type, with more owner-occupied dwellings being detached or semi-detached and a substantial proportion of NIHE property being terraced accommodation.

Figure 7.8 Attitude concerning equality of treatment by the NIHE by religion,
public renting tenants

Data for Figure 7.8

During the course of the 1991 NISAS respondents were asked if they would prefer to live in a neighbourhood with only people of their own religion or in a mixed area (Stringer and Robinson 1993). The majority (69.9%) of respondents stated that they would prefer to live in a mixed-religion neighbourhood. This expression of what people would like to do is obviously at odds with what actually occurs and highlights a number of problems with questions of this type. It may be that people define the geographical boundaries of neighbourhoods or estates in different ways. It is more likely that people would be willing to live in a 'mixed' area if their co-religionists formed a majority rather than a minority. It is also possible that respondents are providing responses which make them seem more moderate and accommodating than they actually are.


RECENT SURVEYS BY THE HOUSING EXECUTIVE

The NIHE has carried out a number of ad hoc surveys on a variety of subjects since it was set up in 1971. As mentioned above the policy of the Executive for much of that time was not to collect information on religion. In recent years, by way of response to the 1990 Report of the Standing Advisory Commission on Human Rights (to be considered in Section Eight), the Housing Executive has included religion in a number of studies. Two of these reports, the Public Attitude Survey, Occasional Papers in Housing Research No. 1 (NIHE 1990) and The General Tenant Household Survey, Occasional Papers in Housing Research No.3 (NIHE 1991), are considered below. Although there had been previous public attitude surveys in 1984, 1986 and 1988, the one carried out in 1990 was the first to include religion.

The information in the 1990 Public Attitudes Survey (PAS) was based on a quota sample which achieved 1,l34 interviews. While the main objectives of the survey were to gauge such things as the level of contact with the Housing Executive, satisfaction with Executive services, and general attitudes, the report of the survey also included a section based on religion. The report of the 1990 PAS was published after the Policy Studies Institute (PSI) report on public housing (Smith and Chambers 1989) which had looked at the question of segregation based on assessments of whether estates were Catholic, Protestant or Mixed (this report is considered in Section Eight). The PAS had obtained differing estimates and the two sets of figures were provided in the report for comparison (Figure 7.9 provides a diagram of the results of the two surveys). The conclusion by the NIHE was that there was "much less polarisation and much more mixing than suggested by the PSI research." (NIHE 1990 p19). The PAS estimated that 47.7 per cent of tenants considered they lived on a mixed estate whereas the figure from the PSI classification was 36.2 per cent.

Figure 7.9 Estimates of the religious composition of estates

Data for Figure 7.9

A further question on whether or not it should be Housing Executive policy to encourage mixing on estates brought an overall 65 per cent agreement with the view that it should be the policy to ensure mixing. There were, however, some interesting variations across area, tenure and religion. The lowest support for mixed estates was in Belfast with a figure of 54 per cent, and the highest was in the West with 81 per cent. Owner occupiers were less likely to believe it should be policy to ensure mixing of estates (62%) compared to NIHE tenants (71%). There was also a slight difference between the two main religions with Catholics (67%) being more inclined to believe mixing should be encouraged than Protestants (63%). Of those who said it should be Housing Executive policy to encourage integration on estates, 88 per cent said they would be prepared to live on a mixed estate. When asked about discrimination, 81 per cent of respondents felt that the Executive did not discriminate on religious grounds; there was no significant difference between Catholics (82%) and Protestants (81 %). The report also contained a table listing elements of service satisfaction and while there were differences in the expressed level of satisfaction for a number of the elements, these differences were reported to be within sample error.

The fieldwork for the General Tenant Household Survey (GTHS) was carried out in 1989 and 1990 and an effective sample of 5,168 was achieved. The survey had a number of aims including an examination of the socio-economic and demographic characteristics of the NIHE housing sector, to record tenants' attitudes to future housing and tenure choices and their attitudes to Executive services, and to "examine the attitudes of the two main religious communities in Northern Ireland to the delivery of key service areas." (NIHE 1991 p3). Given this was the first large-scale survey to include a question on religion the non-response rate for the religion question was reassuringly low at only 4 per cent (compared with 12 per cent for questions on income). The report set out the reasoning behind collecting information on religion:

Strong geographic variations in the religious composition of tenants highlights the importance of accurate information on religion if the Executive is to successfully monitor the impact of its various policies on the two communities, Information is clearly required on the "stock' of tenants by religion, and the "flow" of services by religion. Both sets of data are required before reliable monitoring can proceed. (NIHE 1991 p9).

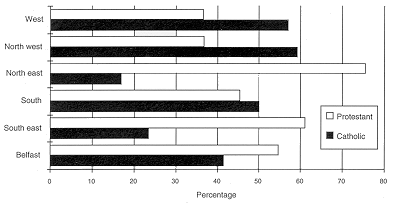
The report of the survey detailed important differences in the characteristics of the individuals and households in Housing Executive dwellings compared with the general Northern Ireland population. For example, the tenant population is skewed towards both ends of the age spectrum. The report also made the point that Catholic households tend to be over-represented compared to the general population and correspondingly Protestant households are under-represented [6]. There were wide variations in the religious composition of Housing Executive property within the six NIHE regions (see Figure 7.10) which reflected the distribution of the Catholic and Protestant populations and other factors such as tenure distribution. Average household size for all Housing Executive tenants, at 3.04, was smaller than the average for all tenures at 3.08. However, within the Housing Executive stock the average household size for Catholics was 3.57 compared to Protestants at 2.54; over one person per household more. Catholic households were more likely to be large family households and Protestant households were more likely to be elderly households.

Figure 7.10 Religion of household by NIHE region


Data for Figure 7.10

The GTHS looked at the areas of maintenance service, the district office, complaints and housing allocations. There was no significant difference in the the reporting of repairs by two main religions. Questions were asked about the experience and satisfaction of tenants with both the Direct Labour Organisation and private contractors, the results are shown in Figures 7.11 and 7.12.

The Report stated that Catholics expressed slightly more satisfaction with the Direct Labour Organisation. The results of these questions were slightly confused. However, what is clear from the figures is that Protestants are more likely to have no experience of the DLO and Catholics are more likely to have no experience of private contractors. There also appeared to be little difference in the views of Catholics and Protestants with regard to repair service; sizable proportions of residents reported the service was improving or getting worse. Protestants were more likely to express satisfaction with their districts than Catholics and correspondingly more Catholics reported dissatisfaction. Only a slightly higher percentage of Catholics (10 per cent) had made a complaint to the Housing Executive than Protestants (9 per cent). Most of the complaints related to "matters of procedure and service delivery rather than direct allegations of religious discrimination." (NIHE 1991 p26).

Figure 7.11 Opinion of performance of Direct Labour Organisation by religion


Data for Figure 7.11

Figure 7.12 Opinion of performance of private contractor by religion


Data for Figure 7.12

Of those tenants allocated a dwelling during the previous 5 years similar, large, percentages of Catholics (91%) and Protestants (89%) said that the allocation factors were clear. High percentages also thought that the advisory services were adequate. The majority of respondents also reported that the dwelling allocated matched their first preference (Catholics 76% and Protestants 72%). Large percentages also reported that the attributes of the allocated dwelling, that is the size, type and condition of the dwelling, were satisfactory. The conclusion of the GTHS Report was that "the survey finds comparatively little differences in the two religions about key service areas." (NIHE 1991 p27).

N0TES

[l] The information derived from the CHS data is currently only available in the form of published reports. However, PPRU is to make the raw data available to researchers through the ESRC archive at Essex University. With the data it would be possible to examine housing information to consider the effects of intervening variables.

[2] For the purpose of classification the Religion Reports of the CHS use the categories, Catholic, All Protestant (including Presbyterian, Church of Ireland, Methodist, Other Protestant, and 'unspecified' Protestant), Other Religion/no denomination, and unwilling to answer.

[3] In addition to the published reports of the Social Attitudes Survey, the data is available through the ESRC archive. Each year's data is usually made available to researchers when the corresponding book has been published.

[4] Questions related to housing satisfaction are somewhat problematic with respondents, particularly older ones, appearing to be satisfied with their home almost regardless of condition. This information should be treated with caution.

[5] These differences are probably within the range of sampling error of each survey.

[6] The figure quoted from the 1981 Census for Catholic households was 30 per cent. This figure would appear to ignore the high rate of non-response and non-enumeration. Estimates provided by Compton and Power (1986) put the figure for the Catholic population at 38.5 per cent which represents approximately 32.7 per cent of total households.





Data for Figure 7.1 Percentage of households in each tenure group,
Catholic and Protestant households, 1983-84 to 1988-91

..
Catholic
Protestant
Total
1983-84Owner-occupied
49
56
54
.Rented NIHE
44
34
37
.Rented private
6
8
7
.Rent free
1
2
1
.
1985-87Owner-occupied
49
58
57
.Rented NIHE
44
33
36
.Rented private
6
7
6
.Rent free
1
2
1
.
1988-91owner-occupied
55
63
61
.Rented NIHE
37
29
31
.Rented private
6
7
7
.Rent tree
1
1
1

Source: PPRU (1985, 1989, 1993)





Data for Figure 7.2 Percentage difference from bedroom standard,
Catholic and Protestant households, 1983-84 to 1988-91

..
Catholic
Protestant
Total
1983-84Below
16
6
10
.Equal
30
26
28
.1 above
35
40
38
.2+ above
18
29
24
1985-87Below
13
4
8
.Equal
39
32
34
.1 above
31
37
35
.2+ above
17
27
23
1988-91Below
10
4
7
.Equal
31
23
26
.1 above
36
41
39
.2+ above
23
33
29

Source: PPRU (1985,1989,1993)





Data for Figure 7.3 Percentage of dwellings with central heating,
Catholic and Protestant households? 1983-84 to 1988-91

.
Catholic
Protestant
Total
1983-84
53
56
56
1985-87
65
67
67
1988-91
77
78
78

Source: PPRU (1985, 1989, 1993)





Data for Figure 7.4 Percentage of Catholic and Protestant households
reporting persistent problems with accommodation, 1983-84 to 1985-87

.
Catholic
Protestant
Total
.
1983-84
1985-87
1983-84
1985-87
1983-84
1985-87
Draughts
47
45
45
42
45
43
Condensation
30
25
27
23
29
25
Dampness
28
24
21
20
23
21
Traffic
11
12
10
12
11
12
Noise
12
13
11
11
12
12

Source: PPRU (1985,1989,1993)





Data for Figure 7.5 Percentage of households reporting specified facilities close at
hand, Catholic and Protestant, 1984 and 1985

.
Catholic
Protestant
Total
.
1984
1985
1984
1985
1984
1985
School
88
84
88
87
88
87
Post office
81
79
81
81
81
80
Bus stop
76
73
80
79
79
78
Public park
38
33
45
45
43
41
Community centre
37
38
39
37
37
37
Children's play area
28
32
41
37
37
35

Source: PPRU (1989)





Data for Figure 7.6 Housing satisfaction by religion (percentages)


1990 Social Attitudes Survey
Very satisfied
Quite satisfied
Neither
Quite dissatisfied
Very dissatisfied
Catholic
47
38
5
5
6
Protestant
45
43
5
4
3
1985 Continuous Household Survey
Very satisfied
Quite satisfied
Neither
Quite dissatisfied
Very dissatisfied
Catholic
45
39
3
10
4
Protestant
54
35
1
6
4

Source: PPRU (1985), Stringer and Robinson (1992)





Data for Figures 7.7 and 7.8 Attitude concerning the equality of treatment of
Catholics and Protestants by the NIHE (percentages)

.
Catholics treated much better
Catholics treated a bit better
Both treated equally
Protestants treated a bit better
Protestants treated much better
It depends/don't know/can't say
ALL TENURES
Catholic
0
0
71
11
5
13
Protestant
6
14
64
2
0
13
OWNER-OCCUPIED
Catholic
0
0
67
12
5
16
Protestant
5
15
63
3
0
15
PUBLIC RENTED (NIHE)
Catholic
0
0
78
9
7
6
Protestant
11
9
73
1
0
5

Source: Stringer and Robinson (1992)





Data for Figure 7.9 Estimates of the religious composition of estates (percentages)

Estate Composition
1990 Public
Attitudes Survey
1989 PSI Classification
Totally/mainly Catholic
15.5
24.2
Totally/mainly Protestant
32.5
39.5
Mixed
47.7
36.2
Don't know
4.5
0.0

Sources: NIHE (1990), Smith and Chambers (1989)





Data for Figure 7.10 Religion of household by NIHE region (numbers and percentages)


.
Belfast
Belfast
South
east
South
east
South
South
North
east
North
east
North
west
North
east
West
West
Total
Total
Catholic
15514
41.6
8055
23.6
12504
50.1
5468
17.1
17398
59.4
8216
57.1
67155
39.0
Protestant
20436
54.8
20864
61.2
11367
45.5
24228
75.6
10811
36.9
5281
36.7
92987
54.0
Other
337
0.9
2280
6.7
376
1.5
1090
3.4
389
1.3
435
3.0
4907
2.9
Refusal
991
2.7
2897
8.5
708
2.8
1275
4.0
715
2.4
450
3.1
7036
4.1
Total
37278
100.0
34096
100.0
24955
100.0
32061
100.0
29313
100.0
14382
100.0
172085
100.0

Source: NIHE (1991), Table 11





Data for Figures 7.11 and 7.12 Opinion of performance of DLO and private contractors,
by religion (percentages)

.
Very good
Fairly good
Average
Fairly poor
Very poor
No experience
Don't know
Un-
obtainable
DIRECT LABOUR ORGANISATION
Catholic
17.3
22.6
19.2
6.4
9
17.7
5
2.8
Protestant
11.1
22.2
20.3
5.9
8
22.8
6.2
3.6
PRIVATE CONTRACTORS
Catholic
11.5
17
15.6
7.7
13.2
27
5
3.1
Protestant
11.5
18.9
16.9
8.7
13.8
22
4.9
3.2

Source: NIHE (1991), Tables 41 and 42




Return to publication contents


CAIN contains information and source material on the conflict and politics in Northern Ireland.
CAIN is based within Ulster University.


go to the top of this page go to the top of this page
Last modified :