Research Report No.5

CCRU home background on CCRU community relations equality and equity research

A Picture of
The Catholic and Protestant Female
Labour Force and Unemployed in Northern Ireland


by

Anthony Murphy
Department of Economics, University College Dublin



All rights reserved No part of this publication may be reproduced, stored in a retrieval system, or transmitted in any form or by any means, electronic chemical, mechanical, optical, photocopying, recording or otherwise, without the prior permission of the copyright owner.

Copies of this report may be obtained from the
Central Community Relations Unit,
20-24 Donegall Street,
Belfast BT1 2GP
Tel: 01232 544520

ISBN 1 899203 09 5


Contents

Foreword
Non-Technical Summary
1.Introduction
2.The LFS Data
3.Use of Econometric Models
4.The Econometric Models Used
5.The Economic Activity of Single, Widowed, Divorced
and Separated Women: Econometric Results
6.The Economic Activity of Married and Cohabiting Women:
Econometric Results
7.Conclusions
Appendix: The Econometric Models Used
References



Foreword

The Central Community Relations Unit (CCRU) was established in 1987 to advise the Secretary of State on all aspects of community relations in Northern Ireland. In 1989, during the passage of the Fair Employment (Northern Ireland) Bill, the Government announced that the CCRU would conduct a Review of the legislation and other relevant policies after five years' experience of its implementation. Between 1990 and 1992 CCRU convened a number of seminars and workshops to determine the indicators which would be used to measure progress towards employment equality. A number of research projects were commissioned or sponsored by the Policy Planning and Research Unit (PPRU) to help clarify key issues for the Review. This is the fifth in a series of reports arising from the research.

In November 1994 the Secretary of State for Northern Ireland asked the Standing Advisory Commission for Human Rights (SACHR), a statutory body established by the Northern Ireland Constitution Act 1973 to advise the Secretary of State on discrimination issues to take forward the Review. It was agreed with SACHR that PPRU and CCRU should continue to manage and publish research commissioned prior to November 1994.

In this report Anthony Murphy presents a picture of the Catholic and Protestant female labour force and unemployed. It complements a previous report in this series by Anthony Murphy and David Armstrong, 'Research Report Number 2 - A Picture of the Catholic and Protestant Male Unemployed', which was published in September 1994.

The views expressed in this report are the responsibility of the author and should not necessarily be regarded as being endorsed by the Central Community Relations Unit or any Government Department.


Non-Technical Summary:

In this paper Labour Force Survey (LFS) data are used to present a picture of the Catholic and Protestant female labour force and unemployed in Northern Ireland. The chances of Catholic and non-Catholic women aged 20 to 54 being in the labour force and being employed are examined in detail. Particular attention is paid to family effects such as the effects of family size, the age of the youngest child and the economic activity of the male partner, if present.

Econometric models are used to disentangle the effects of the various factors which simultaneously determine labour force participation and employment at the level of the individual. The model results are used to decompose raw differences in economic activity and unemployment rates between Catholics and Others (ie non-Catholics) into "structural" and "religion" components. For example, the "structural" component of unemployment is that part of the difference in unemployment rates which is accounted for by observed differences in the characteristics of Catholics and non-Catholics, which, apart from religion, affect the chances of being unemployed. Relevant "structural" factors include age, family size, qualifications and area of residence. It is well known that the incidence of unemployment depends on these factors.

The paper focuses on the incidence of economic activity and unemployment because Catholic and Other women are quite similar in other respects. For example, the proportions of employed Catholic and Other women who are working part time are almost the same and their reasons for working part time are similar. Likewise, the reasons why economically inactive Catholic and non-Catholic women are not looking for a job are very similar, as are the proportions who would like a job and the proportions claiming unemployment related payments.

A woman is economically inactive if she does not participate in the labour force, ie if she is neither employed nor unemployed. Economic inactivity or non-participation rates vary with marital status, the presence of children and religion, inter alia. They are highest for single, widowed, divorced or separated women with children and lowest for single etc women without children. Catholic inactivity rates tend to be about one third higher than non-Catholic rates. However this uniform pattern does not hold for unemployment rates.

The ratio of the Catholic to the non-Catholic unemployment rate, or the so called 'unemployment differential", is about 1.5 on average in the LFS dataset. This is much lower than the corresponding male unemployment differential, which is about 2.5 in the same LFS dataset. Thus, there is no evidence to indicate that Catholic women are at a double disadvantage because of their sex and their religion. However the unemployment differential varies greatly with the presence of children. The female unemployment differential is, on average, about 1.2 for those with children and between 1.6 and 1.7 for those without children. This is an intriguing finding which the paper attempts to explain.

An econometric model for the incidence of economic activity and employment of single women was estimated. The model controls for a large number of relevant factors including age, number of children, age of the youngest child, housing tenure, educational and other qualifications, and area of residence, as well as religion. The religion variable is significant. This implies that, other things being equal. single Catholic women are less likely to be economically active and, if they are economically active, they are more likely to be unemployed. Religion accounts for about one third of the difference in participation rates in the LFS dataset, which are 36% for single Catholic women and 27% for other single women. Religion accounts for about two thirds of the difference in unemployment rates in the sample, which are 17% for Catholic single women and 11.5% for the others.

The economic activity of married women is more complex and harder to model. A number of econometric problems are overcome by modelling the joint economic activity of females and their partners. This approach is preferable to using the male's economic activity as an explanatory variable in the equations explaining married women's economic activity. The models included a large number of explanatory variables apart from religion. Very significant religion effects are found for married men. In the LFS sample, 69% of the married Catholic men are employed, 20% are unemployed and 11% are economically inactive. Other things such as family size, education and area of residence being equal, the econometric results suggest that married Catholic men are about 8 percentage points less likely to be employed, 6 percentage points more likely to be unemployed and 2 percentage points more likely to be outside the labour force.

For married women, small direct religion effects are found. However a substantial indirect religion effect is found. This family effect occurs since, other things being equal, the wives of unemployed men are significantly less likely to be economically active. Since more Catholic men are unemployed, their wives are much more likely to be outside the labour force. Thus Catholic families are more likely than non-Catholic ones to consist of an unemployed male and an economically inactive female. The way the benefit system works is likely to be an important factor generating this effect.


1. Introduction

Differences in the economic activity of Catholic and Protestant men in Northern Ireland, particularly their unemployment rates. have provoked a lively debate amongst academics and policy makers about the factors which account for it [1]. However as Davies et. al. (1995) note, little or no attention has been paid to differences in the economic activity of Catholic and Protestant females. On the one hand, Davies et. al. suggest that there is an "under examined consensus" that the differences in economic activity by religion are smaller for females than for males and so are less important. On the other hand, it is often claimed that Catholic women face a double disadvantage because of their sex and their religion.

Some Census and other data on non-participation rates and unemployment rates by religion are set out in Tables 1 and 2. The data are from three sources - the Census, the Continuous Household Survey and the Labour Force Survey. The Census and CHS data refer to adult females while the LFS data refer to those of working age only. The overall Catholic and Protestant non-participation rates are similar but the Catholic rate is a good deal higher for those of working age. This is not surprising since, as Table 2 shows, the composition of the economically inactive is very different for Catholics and Protestants. The ratio of unemployment rates, or unemployment differential, is highest at about 1.8 in the Census data and lowest in the LFS data at about 1.5. However it is clear that Catholic working age women are much more likely to be economically inactive and, if they participate in the labour force, to be unemployed than Protestant women.


Table 1
Female Non-Participation and Unemployment Rates
Dissaggregated by Religion

..
Non-Participation Rates
Unemployment Rates
SourceAge
Group
Catholic
Protestant
All
Catholic
Protestant
All
1971 Census 15+
64.8
63.6
64.0
7.0
3.6
4.7
1991 Census 16+
56.2
55.0
54.8
14.5
8.0
10.8
.
1990 LFS 16-59
46
34
39.0
9
7
7.6
1991 LFS 16-59
44
35
38.2
11
6
8.2
1992 LFS 16-59
46
32
37.7
10
7
7.7
1993 LFS 16-59
45
36
39.9
11
7
8.2
.
1983-84 CHS 16+
62
58
59 1
7
11
13
1985-87 CHS 16+
63
58
60
15
9
11
1988-90/91 CHS 16+
60
54
56
11
7
9

Sources: Table 8, 1971 Census Religion Report Table 9, 1991 Census Religion Report; PPRU LFS Religion Monitors 3/91, 3/92, 2/93 and 2/94: PPRU CHS Religion Monitors 1/89 and 1/93.




Table 2
Classification of Economically Inactive Adult Females in the 1991 Census

.
Religion
All
.
Catholic
%
Protestant
%
%
Looking After Home
52.1
45.8
48.8
Long Term Sick or Disabled
8.2
6.8
7.4
Retired
24.1
37.0
31.2
Students
14.9
9.5
11.8
Other
0.7
1.0
0.9

Source: Table 9, 1991 Census Religion Report.

In this paper a large household survey dataset, the Labour Force Survey (LFS), is used to model the incidence of female economic activity by religion. Econometric models for the incidence of economic activity and employment are constructed. This fills a gap since no econometric modelling of female economic activity in Northern Ireland has been carried out before this. Particular attention is paid to religion and family effects - family size, family composition and, in the case of married women, their partner's economic activity. Modelling married women's economic activity is involved since there is a complex relationship between their activity and their partner's economic activity, which is likely to be endogenous. This problem and the separate logical coherency problem are overcome by modelling the joint economic activity of females and their partners rather than by attempting to condition on the male's economic activity. This approach is novel.

Turning to religion, the basic issue is to what extent the observed differences in labour market outcomes - differences in the incidence of economic inactivity and unemployment etc - reflect differences in labour market opportunities. According to some it is possible to explain a large part of the male unemployment differential in terms of so called "structural factors" such as age, number of children, location and social class which, it is argued, have little or nothing to do with differences in economic opportunities. According to others, much of the differential is explained by religion, or factors highly correlated with it, and not just by differences in the observed characteristics of Catholics and Protestants. This is the issue addressed in this paper.

The econometric modelling results are interesting. Fairly large and significant religion effects are found for single females. Ceteris paribus, single Catholic females of working age are significantly less likely to be economically active and, if they are economically active, to be employed. However, in the case of married women, the estimated religion effects are small once the partner's economic activity is taken into account. Large and highly significant effects are found for their partners however. Thus an indirect, rather than a direct, religion effect is found. Females with unemployed partners are, other things being equal, much more likely to be inactive. The operation of the benefit system is likely to be one of the factors generating this result.


2. The LFS Data

The dataset used in this paper consists of four years pooled Labour Force Survey (LFS) data for Northern Ireland. The four years are 1985, 1986, 1990 and 1991. These four years were chosen because religion data were not collected in the LFS between 1987 and 1989. The actual sample used in this paper consists of females aged 20 to 54 with a known religion - Catholic, Protestant, other religion and no religion. The Other category used in this paper consists of all non-Catholics. The age range 20 to 54 was chosen to avoid extensive modelling of participation in education and training schemes and retirement decisions. The data for the four years were pooled since the sample size in any single survey is quite small. When pooling the data, care was taken to ensure that the data were consistently defined and coded. See Murphy and Armstrong (1994) for further details. The LFS dataset used here is much larger than the Women's Working Lives survey used by Davies et al (1995) so the results obtained in this paper are more reliable. Similar results were obtained using pooled Continuous Household Survey data for 1986 to 1989.

In the LFS, the employed, the unemployed and the economically inactive are defined as follows. Any adult who did some paid work; or who had a job that they were temporarily away from; or who was on a government employment or training scheme, is classified as employed. Any adult without a job, who was available to start a job within two weeks and who had either looked for work in the previous four weeks; or was waiting to start a job already obtained, is classified as unemployed. Finally any adult not employed or unemployed is deemed to be economically inactive. This group includes the retired, the long term sick and disabled and most full-time students.

In the LFS data, the proportions of employed Catholic and Protestant women who are working part-time are about the same and their reasons for doing so are similar. Unemployed Catholic women have been searching for a job longer than unemployed Protestant women and fewer of them have had a job before. The proportions claiming unemployment related payments are similar. The reasons why inactive Catholic and Protestant women are not looking for a job are very similar as are the proportions who would like a job and the proportions claiming.

Table 3(a)
Marital Status and the Presence of Children
Women Aged 20 to 54 in NI LFS

.
Religion
All
.
Catholic
%
Other%
%
Single etc, No Children
22.2
19.9
20.9
Single etc, With Children
9.5
6.5
7.7
Single etc,
31.7
26.4
28.6
.
Married, No Children
13.2
26.5
21.0
Married, With Children
55.1
47.1
50.4
Married
68.3
73.6
71.4
.
All
100.0
100.0
100.0
Sample Size
4,398
6,308
10,704



Table 3(b)
Non-Participation Rates Disaggregated by Marital Status and the Presence of Children
Women Aged 20 to 54

.
Non-Participation Rates
Ratio of
.
Catholic
%
Other
%
All
%
Non-Participation
Rates
%
Single etc, No Children
21.6
15.6
18.2
1.4
Single etc, With Children
70.1
61.0
65.6
1.2
Single etc
36.1
26.7
31.0
1.3
.
Married, No Children
34.7
24.1
26.8
1.4
Married, With Children
51.8
40.7
45.7
1.3
Married
48.5
34.7
40.1
1.4
.
All
44.6
32.6
37.5
1.4
Sample Size
4,398
6,308
10,704
-

Notes: Sample from pooled NI LFS's for 1985, 1986, 1990 and 1991. The category single etc includes widowed, divorced and separated women as well as single women. Cohabiting women are included in the category married. Children refers to children aged under sixteen years.



Table 4(a)
Marital Status and Presence of Children
Economically Active Women Aged 20 to 54 in NI LFS

.
Religion
All
.
Catholic
%
Other
%
%
Single etc, No Children
31.4
25.0
27.3
Single etc, With Children
5.1
3.7
4.2
Single etc,
36.6
28.7
31.6
.
Married, No Children
15.6
29.9
24.6
Married, With Children
47.9
41.4
43.8
Married
63.4
71.3
68.4
.
All
100.0
100.0
100.0
Sample Size
2,436
4,251
6,687


Table 4(b)

Unemployment Rates Disaggregated by Marital Status and the Presence of Children
Economically Active Women Aged 20 to 54 in NI LFS

.
Unemployment Rates
Ratio of
.
Catholic
%
Other
%
All
%
Unemployment
Rates %
Single etc, No Children
15.4
9.7
12.1
1.6
Single etc, With Children
28.8
24.5
26.4
1.2
Single etc
17.3
11.6
14.0
1.5
.
Married, No Children
7.7
4.4
5.2
1.7
Married, With Children
10.8
8.9
9.7
1.2
Married
10.0
7.0
8.0
1.4
.
All
12.7
8.4
9.9
1.5
Sample Size
2,436
4,251
6,687
-

Note: Sample from pooled NI LFS's for 1985, 1986. 1990 and 1991.

Some other details of the LFS sample used in this paper are set out in Tables 3 and 4. The samples are different in these two tables. Table 3 refers to all women aged 20 to 54 while Table 4 only refers to those women aged 20-54 who are economically active ie who are in the labour force. The sample is disaggregated by religion, marital status and the presence of children under the age of sixteen. The single etc category includes widowed, divorced and separated women; the married category includes those who are cohabiting.

Table 3(a) shows that relatively more Catholics are single. They are also more likely to have children under sixteen years of age. In part this is because Catholic women are younger on average. Economic inactivity rates vary with marital status and the presence of children. Single etc women with children have the highest non-participation rates. As Table 3(b) shows, Catholic non-participation rates tend to be about one third higher than the non-participation rates for Other (ie non-Catholic) women. However this uniform pattern does not hold for the incidence of unemployment.

In Table 4(b) the ratio of Catholic to Other unemployment rates, or the so called "unemployment differential", is about 1.5 on average. This is much lower than the corresponding male unemployment differential, which is about 2.5 in the same LFS dataset[2]. Thus there is nothing to indicate that Catholic women are at a double disadvantage because of their sex and religion. However the unemployment differential varies greatly with the presence of children. It is much lower for those with children than for those without children, irrespective of marital status. This is an intriguing finding.


3. Use of Econometric Models

A major limitation of much research on religion and economic activity in Northern Ireland has been the absence of quantifiable models. Without model results it is difficult to identify the relative importance of the various factors which contribute to the observed differences in economic activity by religion. Another problem with many studies is the difficulty of simultaneously handling the large number of explanatory variables which are available. These variables tend to be correlated with each other and often interact. Thus, cross-tabulations may be misleading and econometric models are required to properly disentangle the effects of the various explanatory variables. Of course, there are always data and econometric limitations. For example, the absence of income data in the LFS means that the estimated models presented later on are very much reduced forms. Ideally one would like to use large panel data sets with data on income or earnings. Unfortunately these data do not exist for Northern Ireland.


4. The Econometric Models Used

A number of different econometric models are used to model the economic activity - labour force participation and unemployment - of the prime age women in the LFS data. Full details of the models are set out in the Appendix. The economic activity of single etc women is modelled using the censored bivariate probit model. This model allows for a possible non-zero correlation between observed labour force participation and employment outcomes due to unobserved variables. For example, "highly motivated" women are more likely to be both in the labour force and in employment but motivation is not observed in the dataset. The model also takes account of the fact that, by definition, someone can only be employed if they participate in the labour force. In practice, the estimated correlation coefficient in the model for single etc women is insignificant. This means that there is no need to model labour force participation and the incidence of employment jointly given the set of explanatory variables used.

Initially the economic activity of married women is modelled using separate probit equations for participation and employment which condition on the male partner's economic activity. There are a number of related practical and theoretical problems with this approach. Firstly, the estimated religion effects for married women are very different from those for single women. Secondly, male economic activity is likely to be endogenous which will result in inconsistent parameter estimates. Thirdly, there is a potential logical coherency problem[3]. A priori there is no particular reason to condition female economic activity on male economic activity since male and female economic activity are likely to be jointly determined. However if male economic activity is conditioned on female activity and female economic activity is conditioned on male activity, a logical coherency problem arises. The best way to avoid logical coherency and endogeneity problems appears to be modelling the combined economic activity of married women and their partners. In the absence of panel data, this joint modelling approach is likely to be preferable to the conditional modelling approach since it helps to control for any common unobserved traits between married women and their partners. In principle, this involves modelling nine outcomes ie all the combinations of male employed, unemployed or inactive and female employed, unemployed or inactive.

In this paper, the multinomial logit (MNL) model is used to model all these outcomes. The model is relatively straightforward but its ease of use comes at a price. The ratio of any two probabilities is independent of all other alternatives. This is a restrictive property. More general models, such as the multinomial probit model, are available but they are much harder to apply. More parameters must be estimated and more complicated estimation routines used. As it stands, the MNL model used in this paper has a large number of parameters. More efficient estimates are obtained by restricting some of the parameters either through zero or cross-equation restrictions. In the estimated MNL model, which generated the results in Table 9, some cross-equation restrictions were imposed. The qualifications dummy variables were restricted to enter each equation in the form of a common index. This restriction is easily accepted.


5. The Economic Activity of Single, Widowed, Divorced and Separated Women: Econometric Results

The economic activity of single, widowed, divorced and separated women is a good deal easier to model than the economic activity of married and cohabiting women. The reason is that one does not have to account for their partner's economic activity. Some simple probit model results for the incidence of labour force participation and employment of single women are set out in Table 5. A large number of standard explanatory variables are included - location, age, marital status, number of children, age of youngest child, housing tenure, health problems which limit economic activity, highest educational or vocational qualifications, as well as religion. The list of explanatory variables is based on studies for the United Kingdom and elsewhere[4].

Variables with positive coefficients in Table 5 increase the probability of being employed or participating in the labour force. Variables with negative coefficients have the opposite effects. Many of the explanatory variables are dummy variables ie they are either one or zero indicating the presence or absence of some characteristic such as owning or buying one's house. In the case of dummy variables, the relative size of the effect is indicated by the relative size of the coefficient. Loosley speaking, variables with absolute t statistics greater than or equal to two are statistically significant ie the estimated coefficients are very unlikely to have been generated by chance.

The results in Table 5 appear plausible. They accord well with one's priors and with the results for males in Murphy and Armstrong (1994). For example, a high local unemployment rate, more children, the presence of younger children, a health problem which limits one's economic activity, poorer qualifications or no qualifications, all reduce the probability of being economically active. Other things being equal, those with the highest qualifications, are more likely to be economically active, apart from 20 to 24 year olds. Females aged 20 to 24 with degrees or A levels are more likely to be in further or higher education.

Religion is a significant explanatory variable in both equations. Likelihood ratio tests show that the Catholic dummy variables adequately capture the religion effects. The results indicate that, ceteris paribus, single Catholic women are less likely to participate in the labour force and, if they do participate, to be employed. In the LFS sample used, the actual difference in participation rates between Catholics and Others is 9.7 percentage points. The estimated marginal and ceteris paribus religion effects are both 2.7 percentage points. This suggests that about one third of the difference in participation rates between Catholics and Others is accounted for by religion and the rest by differences in family size, age of youngest children, educational qualifications etc.

The actual difference in unemployment rates between Catholics and Others is 6.2 percentage points whilst the estimated marginal and ceteris paribus religion effects are both about 3.9 percentage points. This suggests that about two thirds of the difference in unemployment rates between Catholics and Others is accounted for by religion and the rest by structural factors. These results for single women are a little higher than those found for all males in Murphy and Armstrong (1994). Ceteris paribus, religion accounts for about half of the much larger difference in unemployment rates between Catholic and Other men.

These findings must be interpreted with care. They do not necessarily equate with current direct or indirect discrimination. For example, the current incidence of unemployment depends, in part, on the past incidence of unemployment. In addition some would argue that the large and significant Catholic effects may be explained by a range of factors which are not in the model because they are not measured in the LFS data used. Murphy and Armstrong (1994) discuss these issues and examine some of these arguments in more detail.

Table 5
Incidence of Participation and Employment
Single Widowed and Divorced Women Aged 20 to 54 in the NI LFS
Probit Model Results

Explanatory
Variables
Employment
Participation
.
Coeff
Abs t Stat
Coeff
Abs t Stat
Const
- 0.510
0.9
0.275
0.5
Ln TTWA Unemp Rate
- 0.026
2.3
- 0.014
1.5
Belfast DC*
- 0.218
2.4
- 0.243
3.5
Age
0.085
2.5
0.070
2.5
Age Squared. 1000
- 0.979
2.1
- 1.222
3.2
No of Children
- 0.147
2.5
- 0.307
6.3
Youngest Child Aged 0/1*
-
-
- 1.516
10.0
Youngest Child Aged 2-4*
-
-
- 1.163
8.4
Youngest Child Aged 5-9*
-
-
- 0.699
5.5
Widowed*
-
-
- 0.426
3.8
Divorced/Separated*
- 0.302
2.6
-
-
Own/Buying House*
0.455
5.8
0.331
5.1
Health Problem Limits Econ Act*
- 0.404
3.0
- 1.167
13.9
Highest Qual - Degree etc*
0.792
5.8
0.872
5.9
Highest Qual - A Level*
0.971
5.4
0.353
1.8
Highest Qual - Apprent etc*
0.397
2.6
0.369
2.8
Highest Qual - 0 Level etc*
0.513
4.9
0.696
6.9
Highest Qual - Other
0.378
3.1
0.364
3.6
Degree etc Highest Qual & Aged 20-24*
-
-
- 0.556
2.4
A Level Highest Qual & Aged 20-24*
-
-
- 1.353
6.2
Catholic*
- 0.202
2.7
- 0.124
2.1
Sample Size
2,084
3,021
Log Likelihood
- 730.2
- 1,187.6
Percent Correct Predicitions
85.9%
82.3%
McFadden's Pseudo R2
0.113
0.417

Notes to Table 5:
The sample consists of single, divorced and separated women aged 20 to 54 and is from the pooled Northern Ireland Labour Force Surveys for the four years 1985, 1986, 1990 and 1991. In the sample the economic inactivity (non-participation) rates are 31.0% overall, 36.3% for Catholics and 26.6% for Others. The sample consists of 1.378 Catholics and 1,643 Others. Amongst the economically active, the unemployment rates are 14.0% overall, 17.8% for Catholics and 11.6% for Others. The unemployment differential (ratio of unemployment rates) is 1.5. The sample of economically active single etc women is made up of 878 Catholics and 1,206 Others.

Dummy variables are denoted by an asterisk. The educational dummy variables are defined as follows. The degree level category includes those with higher degrees, degree equivalents (such as nursing or teaching qualifications) and those with BTEC(H)'s HNC's. HND's etc. The apprenticeship category includes those with completed trade apprenticeships, City & Guilds and BTEC(O)'s, ONC's, OND's etc.

The restrictions that religion only appears as a dummy variable, and not interacted with other variables, were not rejected.


6. The Economic Activity of Married and Cohabiting Women: Econometric Results

Some probit participation equations for married women are presented in Table 6. The first set of results excludes the male partner's economic activity and religion is significant. However, once one conditions on, or includes as an additional explanatory, the partner's economic activity, religion becomes completely insignificant. Moreover the other explanatory variables do not change sign or become insignificant.

Probit equations for the incidence of employment are presented in Table 7. Religion is insignificant to start off with and becomes completely insignificant when one conditions on the husband's economic activity. The contrast between these results and those for single etc women is rather startling. When the sample is split into those with and without children, stronger religion effects on both the incidence of participation and employment are found for those with no children.

In the light of these results as well as the theoretical issues discussed in Section 4 and the Appendix, it was decided to estimate multinomial logit models of the joint economic activity of married women and their partners, rather than continue with models which condition on the male partner's economic activity. Some details of the LFS sample used are set out in Table 8.

The female unemployment differential is 1.4 whilst the male differential is over 2.8 in the sample. The nine different joint outcomes are shown in Table 8(c). It is clear that the wives of unemployed men are much more likely to be economically inactive. On the one hand this may be the result of how the means tested benefit system works[5]. On the other hand it may just reflect the traditional "macho" view of the male as the principal bread-winner[6].

The largest differences in outcomes between Catholics and Others in Table 8(c) are for the combinations: male and female employed; male unemployed and female inactive; male inactive and female inactive. Catholics are less likely to be dual earners. Catholic men are more likely to be unemployed or inactive with an inactive spouse. However these results may not hold when one takes account of relevant explanatory variables such as location, the number of children, the age of the youngest child, highest educational and vocational qualifications etc.

In order to take account of these explanatory variables a multinomial logit model was estimated. Some cross-equation restrictions on the qualifications variables were imposed. One of the nine possible outcomes was dropped since it contained too few cases. The religion dummy variable refers to the religion of the male. This is not a problem since there are relatively few mixed marriages in the LFS dataset[7]. A nested special case of the model assumes that male and female economic activity are independent. A likelihood ratio test decisively rejects this[8]. This rejection is mainly due to the fact that, other things being equal, the wives of unemployed men are much more likely to be economically inactive.


Table 6
Incidence of Economic Activity
Married and Cohabiting Women Aged 20 to 54 in the NI LFS
Probit Model Results

Explanatory
Variables
Excluding Partner's
Economic Activity
Including Partner's
Economic Activity
.
Coeff
Abs t Stat
Coeff
Abs t Stat
Const
- 0.534
1.6
- 0.539
1.6
Ln TTWA Unemp Rate
- 0.030
5.9
- 0.030
5.9
Belfast DC*
- 0.009
0.2
0.034
0.7
Age
0.092
5.2
0.077
4.0
Age Squared. 1000
- 0.147
6.3
- 0.121
5.1
No of Children
- 0.209
11.9
- 0.193
10.8
Youngest Child Aged 0/1*
- 0.745
11.6
- 0.795
12.1
Youngest Child Aged 2-4*
- 0.528
8.7
- 0.5 66
9.2
Youngest Child Aged 5-9*
- 0.169
3.1
- 0.197
3.5
Own/Buying House*
0.405
11.0
0.240
6.2
Health Problem Limits Econ Act*
- 0.808
14.8
- 0.782
14.2
Highest Qual - Degree etc*
0.922
16.9
0.863
15.8
Highest Qual - A Level*
0.647
6.7
0.586
6.1
Highest Qual - Apprent etc*
0.310
4.4
0.275
3.9
Highest Qual - O Level etc6
0.497
10.2
0.448
9.1
Highest Qual - Other*
0.283
5.3
0.255
4.7
Partner Employed/Scheme*
-
-
0.603
9.6
Partner Unemployed*
-
-
- 0.104
1.4
Catholic*
- 0.074
2.2
0.011
0.3
(Marginal Effect)
(- 2.3%)
.
(0.3%)
.
Sample Size
7,521
7,521
Log Likelihood
- 4,145.4
- 4,028.3
Percent Correct Predicitions
71.8%
73.1%
McFadden's Pseudo R2
0.224
0.252

Notes to Table 6:
See notes to Table 5. The sample consists of married and cohabiting women aged 20 to 54 and is from the pooled Northern Ireland Labour Force Surveys for the four years 1985, 1986, 1990 and 1991. There are 2,966 Catholics and 4,555 Others. The Catholic participation rate is 51.4% as opposed to 65.4% for Others. In the case of Catholic women, 68.6% of their partners are employed or on a scheme and 19.8% are unemployed. The corresponding figure for Other women are 87.0% and 7.5% respectively.


Table 7
Incidence of Employment
Married and Cohabiting Women Aged 20 to 54 in the NI LFS
Probit Model Results

Explanatory
Variables
Excluding Partner's
Economic Activity
Including Partner's
Economic Activity
.
Coeff
Abs t Stat
Coeff
Abs t Stat
Const
- 0.336
0.6
- 0.105
0.2
Ln TTWA Unemp Rate
- 0.035
3.7
- 0.035
3.7
Belfast DC*
- 0.101
1.3
- 0.070
0.9
Age
0.086
2.8
0.081
2.6
Age Squared. 1000
- 0.889
2.1
- 0.838
2.0
No of Children
-0.144
5.5
-0.142
5.3
Own/Buying House*
0.421
6.4
0.308
4.4
Health Problem Limits Econ Act*
- 0.235
2.0
- 0.235
2.0
Highest Qual - Degree etc*
0.653
6.3
0.613
5.9
Highest Qual - A Level*
0.201
1.4
0.180
1.1
Highest Qual - Apprent etc*
0.083
0.7
0.123
1.1
Highest Qual - O Level etc*
0.237
2.8
0.195
2.3
Highest Qual - Other*
0.164
1.7
0.134
1.4
Partner Employed/Scheme*
-
-
0.045
0.3
Partner Unemployed*
-
-
- 0.735
4.5
Catholic*
- 0.051
0.8
- 0.002
0.0
(Marginal Effect)
(- 0.7%)
.
(- 0.0%)
.
Sample Size
4,503
4,503
Log Likelihood
- 1,139.7
- 1,107.3
Percent Correct Predicitions
92.0%
92.1%
McFadden's Pseudo R2
0.07
0.10

Notes to Table 7:
See notes to Table 5. The sample consists of economically active married and cohabiting women aged 20 to 54. The sample is from the pooled Northern Ireland Labour Force Surveys for the four years 1985, 1986, 1990 and 1991 and consists of 1,525 Catholic and 2,978 Other women. The Catholic unemployment rate is 10.0% as opposed to 7.0% for Other women. In the case of the Catholic women, 84.1% of their partners are employed or on a scheme and 9.6% are unemployed. The corresponding figures for Other women are 92.8% and 3.8% respectively.


Table 8(a)
Economic Activity of Married and Cohabiting Women Aged 20 to 54
Sample Used for Modelling Joint Male and Female Economic Activity

Female Economic
Activity
Catholics
(Relig of Male)
Others
(Relig of Male)
All
.
%
%
%
Employed / Scheme
Unemployed
Inactive
All
46.1
5.1
48.8
100.0
60.9
4.7
34.4
100.0
55.1
4.9
40.0
100.0
Participation Rate
(Sample Size)
51.2
(2,872)
65.6
(4,547)
60.0
(7,419)
Unemployment Rate
(Sample Size)
9.9
(1,471)
7.2
(2,983)
8.1
(4,454)



Table 8(b)
Economic Activity of Partners of married and Cohabiting Women Aged 20 to 54
Sample Used for Modelling Joint Economic Activity

Male Economic
Activity
Catholics
(Relig of Male)
Others
(Relig of Male)
All
.
%
%
%
Employed / Scheme
Unemployed
Inactive
All
68.7
20.2
11.1
100.0
87.4
7.5
5.1
100.0
80.1
12.5
7.4
100.0
Participation Rate
(Sample Size)
88.9
(2,872)
94.9
(4,547)
926
(7,419)
Unemployment Rate
(Sample Size)
22.8
(2,553)
7.9
(4,315)
13.4
(6,868)



Table 8(c)
Economic Activity of Married and Cohabiting Women Aged 20 to 54
and their Partners
Sample Used for Modelling Joint Economic Activity

Male Economic
Activity
Female Economic
Activity
Catholics
(Relig of Male)
%
Others
(Relig of Male)
%
All
%
Employed / SchemeEmployed / Scheme
Unemployed
Inactive
39.6
3.4
25.6
57.4
3.7
263
50.5
3.6
26.0
UnemployedEmployed/Scheme
Unemployed
Inactive
3.6
1.4
15.2
1.6
0.9
5.0
2.4
1.1
9.0
InactiveEmployed/Scheme
Unemployed
Inactive
2.9
0.3
7.9
1.8
0.2
3.1
2.2
0.2
5.0
All
Sample Size
.
100.0
2,872
100.0
4,547
100.0
7,419

Notes to Tables 8(a), (b) and (c):
Sample of married and cohabiting women from the four years pooled NI LFS for 1985, 1986, 1990 and 1991. Non-respondents and individuals with missing data are excluded. A slightly smaller sample of 7,403 cases is used to estimate the restricted multinomial logit model, some results of which are reported in Table 9.

The estimated multinomial logit model is rather large - it has 127 parameters - and is a little complicated so the estimated coefficients are not presented. However the estimated marginal effects are set out in Table 9. These are evaluated at the sample averages of the explanatory variables. The model includes quadratic age terms for both males and females. These terms are significant. However the turning points for these quadratics are pretty close to the average ages. As a result the estimated marginal age effects, when evaluated at the sample averages, are very small and are not very informative. Otherwise the results appear plausible. For example, variables such as the number of children, the age of the youngest child, health problems and educational qualifications all work as expected.

The estimated religion effects are generally significant. The results for males agree with those in Murphy and Armstrong (1994). The results for females are similar to those in Tables 6 and 7. This is a little surprising since, a priori, the model being used is a better one. Nevertheless, the results in Table 9 have the advantage that they are not affected by endogeneity or logical coherency problems. The estimated marginal effects suggest that, other things being equal, married Catholic men are 7.8 percentage points less likely to be employed, 6.0 percentage points more likely to be unemployed and 1.8 percentage points more likely to be economically inactive. The results also suggest that women married to Catholic men are 1.3 percentage points less likely to be employed and 12 percentage points more likely to be inactive, other things being equal. The estimated ceteris paribus effects are similar. Thus, the direct effect of religion on female economic activity appears to be small. However the indirect or family effect of religion, working through the higher Catholic male incidence of unemployment and non-participation, is large. Other things being equal, Catholic families are more likely to consist of an unemployed or inactive man and an economically inactive woman. The benefit system is a very likely contributory factor. This is also consistent with the observed low unemployment differential found for single women with children. Unfortunately with LFS data one cannot determine the size of this benefit trap effect.


Table 9
Joint Modelling of Male and Female Economic Activity
Married and Cohabiting Women Aged 20-54 in the NI LFS for 1985, 1986, 1990 and 1991

Restricted Multinomial Logit Model Results - Marginal Effects

.
Male Partner Employed
Male Partner Unemployed
Male Partner Inactive
.
Female
Employed
Female
Unemployed
Female
Inactive
Female
Employed
Female
Unemployed
Female
Inactive
Female
Employed
Female
Inactive
Ln TTWA Male Unemp Rate
-14.2*
1.5
11.0*
-0.5
0.2
0.9
0.0
1.0
Belfast DC
-1.2
0.1
-3.8*
1.1*
0.3
2.5*
0.3
0.7*
Age
-0.5*
-0.1
0.6*
0.0
0.0
0.0
0.0
0.0
Partner's Age
0.0
0.0
0.1
0.0
0.0
-0.1
0.0
0.0
No of Children
-7.9*
-0.3
5.8*
-0.1
0.1
1.8*
0.0
0.7*
Youngest Child Aged 0-1
-30.0*
3.1*
29.4*
-2.4*
-0.3
0.6
-0.9*
0.4
Youngest Child Aged 2-4
-23.3*
2.6*
22.7*
-1.4
0.0
0.0
-0.2
-0.4
Youngest Child Aged 5-9
-7.8*
1.7
9.2*
-1.2
0.0
-0.9
-0.2
-0.9*
Own / Buying a House
17.9*
-0.6
-3.6
-2.1
-1.0
-7.4
-0.7
-2.5
Health Problem Limits Econ Act
-30.3*
0.7
26.8*
-1.0
-0.4
3.6*
-0.3
0.9*
Partner's Health Problem Limits Econ Act
-12.6
0.1
-1.9
1.9*
0.9*
4.1*
2.7*
4.7*
Highest Qual - Degree or Equivalent
38.9*
-2.2*
-27.5*
2.0*
-0.8
-8.5*
0.6*
-2.6*
Highest Qual - A Level
23.0*
-1.3*
-16.3*
1.2*
-0.5
-5.0*
0.4*
-1.5*
Highest Qual - Apprenticeship or equivalent
8.6*
-0.5*
-6.0*
0.4*
-0.2
-1.9*
0.1*
-0.6*
Highest Qual - O Level or Equivalent
18.8*
-1.1*
-13.3*
1.0*
-0.4
-4.1*
0.3*
-1.2*
Highest Qual - Other
10.6*
-0.6*
-7.5*
0.5*
-0.2*
-2.3*
0.2*
-0.7*
Partner's Highest Qual - Degree etc
1.8
0.7
10.3*
-3.2*
-1.0*
-5.8*
-0.7*
-2.2*
Partner's Highest Qual - A Level
1.2
0.5
7.0*
-2.1*
-0.6*
-3.9*
-0.5*
-1.5*
Partner's Highest Qual - Apprenticeship etc
0.3
0.1
1.8*
-0.5*
-0.2*
-1.0*
-0.1*
-0.4*
Partner's Highest Qual - O Level etc
0.9
0.4
4.8*
-1.5*
-0.4*
-2.8*
-0.3*
-1.1*
Partner's Highest Qual - Other
0.2
10.1
1.3
-0.4
-0.1
0.7
-0.1
-0.3*
Partner Catholic
-4.0*
-0.2
-3.6*
2.2*
-0.2
3.6*
0.5*
1.2*

Notes to Table 9
Sample Size = 7,403. Log likelihood = - 8,223.52. The marginal effects are calculated at the sample averages. Significant effects are denoted by an asterisk. The multinomial logit model includes quadratic terms in age and the qualification dummy variables are restricted to enter each x ' term as a common index. The LR test statistic for this restriction is 99.7 with 48 degrees of freedom so the restriction is not rejected. The sample is the same as in Table 8 except that the category male inactive, female unemployed is omitted since there were only 16 cases in that group.


7. Conclusions

In this paper the economic activity of prime age Catholic and Protestant females in Northern Ireland is examined. Econometric models of the incidence of economic activity and employment by religion are presented. Particular attention is paid to family effects such as the number of children, the age of the youngest child and the partner's economic activity. Differences in raw non-participation and unemployment rates between Catholics and Protestants are decomposed into "structural" and religious components using the econometric model results.

Separate results are produced for single and married women. Censored bivariate probit models of participation and employment are estimated for single women, and religion is found to be significant. Ceteris paribus, single Catholic women are less likely to participate in the labour force and, if they do participate, to be employed.

In the case of married women, possible endogeneity and logical coherency problems are overcome by modelling the joint economic activity of females and their partners instead of attempting to condition on the male's economic activity. A restricted multinomial logit model is estimated. Large and significant religion effects are found for males. Small direct religion effects are found for females. A large indirect or family religion effect is found instead, since the wives of unemployed men are significantly less likely to be economically active. This is likely to be the result of how the benefit system operates.



Appendix

The Econometric Models Used

Modelling the Economic Activity of Single Women

The economic activity of single etc women is modelled using a censored bivariate probit model. The standard bivariate probit model with a non-zero correlation coefficient p allows the errors in the latent equations explaining labour force participation and employment to be correlated. For example, "highly motivated" women are more likely to be both in the labour force and in employment. Since motivation is not directly observed in the LFS dataset, the errors in the two equations may well be positively correlated. If this correlation is significant then single equation probit model results will be biased and inconsistent. A censored bivariate probit model is appropriate when modelling the incidence of labour force participation and employment since, by definition, someone can only be employed if they participate in the labour force.

Consider the following pair of latent regression equations for the incidence of participation and employment:


where the errors are assumed to have a standard bivariate normal distribution with correlation p. Only the signs of the latent variables are observed so two indicator variables y1 and y2 are defined as follows:


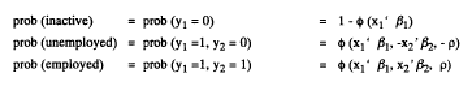
If an individual participates y1 = 1; otherwise it is zero. Similarly, if an economically active individual is employed = 1; otherwise y2 = 0 indicating that she is unemployed. In the censored model the second latent regression is only relevant when the individual participates ie when y1 = 1. Thus only three combinations of the pair (y1, y2) are observed. The probabilities of these three combinations are as follows:


where is the univariate or bivariate cumulative standard normal distribution function [9]. In practice, the estimated p coefficient in the model for single etc women is insignificant.

This means that there is no need to model single women's labour force participation and incidence of employment jointly given the set of explanatory variables used.

The marginal effects in this model show the estimated effects of a small change in some explanatory variable x1 on the probabilities of being economically active and employed. Marginal effects are readily calculated but they are individual specific. The reported marginal effects in the paper are calculated using the sample average probabilities and estimated coefficients. An alternative approach is often used when considering the effect of changes in variables which are not continuous eg the effect of a dummy variable on the probability of some event. Dummy variables are discontinuous since they only take on two values. These alternative measures, which are called "ceteris paribus" effects, are calculated as possibly evaluated at the sample means. In practice, the estimated marginal and ceteris paribus effects tend to be similar.

Modelling the Economic Activity of Married Women

Initially the economic activity of married women is modelled using separate probit equations for participation and employment which condition on the male partner's economic activity. Some of the practical and theoretical problems with this approach are discussed in the paper. In particular there is a potential logical coherency problem[10]. A priori there is no particular reason to condition female economic activity on male economic activity since male and female economic activity are likely to be jointly determined. However if male economic activity is conditioned on female activity and female economic activity is conditioned on male activity, a logical coherency problem arises. The best way to avoid logical coherency and endogeneity problems appears to be modelling the combined economic activity of married women and their partners. In the absence of panel data, this joint modelling approach is likely to be preferable to the conditional modelling approach since it helps to control for any common unobserved traits between married women and their partners. In principle, this involves modelling nine outcomes ie all the combinations of male employed, unemployed or inactive and female employed, unemployed or inactive.

Ideally one would like to model these nine outcomes using the multinomial probit (MNP) model since this is a very general model. In the MNP model, the pattern of correlations between the random error terms is not restricted and may be estimated using simulated maximum likelihood or method of moments methods[11]. However the simpler multinomial logit (MNL) model is used in this paper. The results are likely to be similar to those obtained using the independent multmomial probit model.

In the multinomial logit model, the probability of "choosing" alternative j from the set of available alternatives 1 ... J is:



where the j's are choice specific coefficient vectors. Some normalisation is required so. without loss of generality, 1 is set equal to zero. Marginal effects, which are individual specific, are readily calculated although there is no simple relationship between the j's and the marginal effects pj / x since this depends on all the coefficients and not just j. Thus the sign of the j 'th marginal effect often differs from the sign of j. The reported marginal effects in Table 7 are all calculated at the sample average of the x's. Approximate standard errors for these marginal effects have also been calculated.

The simplicity of the multinomial logit model comes at a price. The ratio of any two probabilities Pj /Pk =exp(x'j) / exp (x' k ) which is independent of all other alternatives. This "irrelevance of irrelevant alternatives" property is restrictive. The MNL also has a large number of parameters. More efficient estimates are obtained by restricting some of the parameters either through zero or cross-equation restrictions. In the estimated MNL model used in Table 9, some cross-equation restrictions are tested and imposed. The qualifications dummy variables are restricted to enter each equation in the form of a common index.


Footnotes:

[1]See Compton (1991), Eversley (1989), Gallagher (1991), Murphy and Armstrong (1994) and Smith and Chambers (1991) inter alia.
[2]See Murphy and Armstrong (1994).
[3]In practice, what this means is that the sum of the probabilities of all the separate possible outcomes does not add up to one unless some restrictions are imposed. The restrictions to be imposed are generally not implied by economic theory and are often hard to rationalise a priori.
[4]See Nickell (1979) and Pissarides and Wadsworth (1992) for example.
[5]See Davies et al (1992), Dilnot and Kell (1987), Garcia (1989) and Kell and Wright (1990) for example.
[6]See Barerre-Maurisson et al (1985) for example.
[7]The use of the male's religion to classify couples was tested by including a set of dummy variables for the female's religion. These were jointly insignificant.
[8]The test statistic is 456.7 with 75 degrees of freedom.
[9]See Greene (1993) for further details.
[10]See Maddala (1983). The simplest logical coherency problem arises when a latent variable y* depends on the 0/1 indicator variable y and other variables: y* = y + x ' + u where u is standard normal random error term. Since only the sign of y* is observed, the probabilities of the two outcomes are 1 - (x ' ) and ( + x ' ) which only sum to one when = 0. Thus this model is only logically coherent when = 0. More generally, a logical coherency problem occurs in systems of equations for latent variables when the endogenous indicator variables appear on the right band side. Identification of these equations is a separate issue.
[11]See Borsch-Supan and Hajivassiliou (1993), Hajivassiliou (1994), McFadden (1989) and Pakes and Pollard (1989) for example.



References

Barriere-Maurisson M, Battagliola F and Daune-Richard A (1985). "The Course of Women's Careers and Family Life", in Roberts B, Finnegan R and Gallie D (eds), New Approaches to Economic Life, Manchester University Press, Manchester.

Borsch-Supan A and Hajivassiliou V (1993). "Smooth Unbiased Multivariate Simulators for Maximum Likelihood Estimation of Limited Dependent Variable Models", Journal of Econometrics, 58, 347-368.

Compton PA (1991). "Employment Differentials in Northern Ireland and Job Discrimination: A Critique" in Roche P J and Barton B (eds), The Northern Ireland Question, Myth and Reality, Avebury, Aldershot.

Davies C, Heaton N, Robinson G and McWilliams M (1995). A Matter of Small Importance: Catholic and Protestant Women in the Northern Ireland Labour Market, Equal Opportunities Commission for Northern Ireland, Belfast.

Davies R, Elias P and Penn R (1992). "The Relationship Between a Husband's Unemployment and his Wife's Participation in the Labour Force", Oxford Bulletin of Economics and Statistics, 54, 2, 145-171.

Dilnot A and Kell M (1987). "Male Unemployment and Women's Work", Fiscal Studies, 8, 1-16.

Dilnot A (1992). "Social Security and Labour Market Policy", in McLaughlin E (ed) Understanding Unemployment, Routledge, London.

Eversley D (1989). Religion and Unemployment in Northern Ireland, Sage, London.

Gallagher A (1991). Employment, Unemployment and Religion in Northern Ireland: The Majority Minority Review, No 2, Centre for the Study of Conflict, University of Ulster, Coleraine.

Garcia J. (1989). "Incentive and Welfare Effects of Reforming the British Benefit System: A Simulation Study for the Wives of Unemployed Men", in Nickell S et al (eds), The Nature of Unemployment in Britain: Studies of the DHSS Cohort, Oxford University Press, Oxford.

Greene W H (1993). Econometric Analysis, Macmillan, New York.

Hagivassiliou V (1991). "Simulation Estimation Methods for Limited Dependent Variable Models", in Maddala G, Rao C and Vinod H (eds), Econometrics: Handbook of Statistics: Volume 11, North Holland, Amsterdam.

Kell M and Wright J (1990). "Benefits and the Labour Supply of Women Married to Unemployed Men". Economic Journal, Supplement. 400, 119-26.

Maddala G S (1983). Limited Dependent and Qualitative Variables in Econometrics, Cambridge University Press, Cambridge.

McFadden D (1989). "A Method of Simulated Moments for the Estimation of Discrete Response Models Without Numerical Integration", Econometrica, 57, 995-1026.

Murphy A and Armstrong D (1994). A Picture of the Catholic and Protestant Male Unemployed. Employment Equality Review Research Report No 2, Central Community Relations Unit. Belfast.

Nickell S (1980). "A Picture of Male Unemployment in Britain", Economic Journal, 19, 776-94.

Pakes A and Pollard D (1989). "Simulation and the Asymptotics of Optimisation Estimators", Econometrica, 57, 1027-57.

Pissarides C and Wadsworth J (1992). "Unemployment Risks", in McLaughlin E (ed). Understanding Unemployment, Routledge, London.

Smith D J and Chambers G (1991). Inequality in Northern Ireland, Clarendon Press, Oxford.

© CCRU 1998-1999
site developed by: Martin Melaugh
page last modified:
Back to the top of this page