Equality and Equity Report

CCRU home background on CCRU community relations equality and equity research

EVALUATION OF THE RATIO
OF UNEMPLOYMEENT RATES
AS AN INDICATOR OF FAIR EMPLOYMENT

Dr Graham Gudgin
Northern Ireland Economic Research Centre
and
Professor Richard Breen
Centre for Social Research
The Queen's University of Belfast

CENTRAL COMMUNITY RELATIONS UNIT
(1996)



CONTENTS
FOREWORD
PART 1:EVALUATION OF THE RATIO OF UNEMPLOYMENT RATES
AS AN INDICATOR OF FAIR EMPLOYMENT
EXECUTIVE SUMMARY
INTRODUCTION
Section 1:RATIOS OF UNEMPLOYMENT RATES AND OTHER MEASURES
Constancy Over Time of the Ratio of Unemployment Rates
Conclusions to Section 1
Section 2:MODELLING THE DYNAMICS AND SENSITIVITY OF THE RATIO OF UNEMPLOYMENT RATES
A Model of the Northern Ireland Labour Force 1971­91
Labour Market Parameters 1971­91
A Model of the Northern Ireland Labour Force Survey
Section 3:SIMULATION RESULTS
Individual Factors
Combinations of Factors
Initial Conditions
Sensitivity of Unemployment Ratio to Level of Catholic Disadvantage
Sensitivity of Unemployment Ratio to Rates of Labour Turnover
Interpretation of Results
CONCLUSIONS
BIBLIOGRAPHY

APPENDICES
Appendix 0:
Appendix 1
Appendix 2:
Appendix 3:
Appendix 4:

Appendix 5:
Appendix 6:
Appendix 7:
Notation
Measures of Fair Employment
Mathematical Results
Difference Equation Form of the Model of the Northern Ireland Labour Force 1971-91
A Simplified Version of the Model that Yields a Closed Form for the Equilibrium
Ratio of Unemployment Rates
Alternative Specifications of the Migration Function
Computing Net Migration 1971­91 Among Catholics and Protestants
Measures of Catholic Disadvantage in Obtaining Employment

PART 2:COMMENTS
Anthony Murphy
Robert Rowthorn

PART 3:REJOINDER
Graham Gudgin and Richard Breen




PART 1
EVALUATION OF THE RATIO OF
UNEMPLOYMENT RATES
AS AN INDICATOR OF FAIR EMPLOYMENT

Dr Graham Gudgin
Northern Ireland Economic Research Centre

Professor Richard Breen
Centre for Social Research, The Queen's University of Belfast


PART 2
COMMENTS

Mr Anthony Murphy, Department of Economics, University College Dublin

Professor Robert Rowthorn, Faculty of Economics and Politics, University of Cambridge



PART 3
REJOINDER

Dr Graham Gudgin and Professor Richard Breen






FOREWORD

EVALUATION OF THE RATIO OF UNEMPLOYMENT RATES AS AN INDICATOR OF FAIR EMPLOYMENT

The Central Community Relations Unit (CCRU) was established in 1987 to advise the Secretary of State on all aspects of community relations in Northern Ireland. In 1989, during the passage of the Fair Employment (Northern Ireland) Bill, the Government announced that the CCRU would conduct a Review of the legislation and other relevant policies after five years' experience of its implementation. Between 1990 and 1992 CCRU convened a number of seminars and workshops to determine the indicators which could be used to measure progress towards employment equality. A number of research projects were commissioned or sponsored by the Policy Planning and Research Unit (PPRU) to help clarify key issues for the Review. This is the fourth in a series of reports arising from the research.

In November 1994 the Secretary of State for Northern Ireland asked the Standing Advisory Commission for Human Rights (SACHR), a statutory body established by the Northern Ireland Constitution Act 1973 to advise the Secretary of State on discrimination issues, to take forward the Review. It was agreed with SACHR that PPRU and CCRU should continue to manage and publish research commissioned prior to November 1994.

An area of public debate and controversy since the 1980s has been the difference in unemployment rates between Protestants and Catholics, particularly male, and its relevance as an indicator of fair employment. The present paper reports one of the studies commissioned by PPRU to address this issue. The research was undertaken by Professor Richard Breen (Director of the Centre for Social Research, Queen's University, Belfast) and Dr Graham Gudgin (Director of the Northern Ireland Economic Research Centre).

The authors presented the results of their research at a seminar in September 1994 which was organised by CCRU/PPRU with a view to the wider dissemination of the research and to generating an exchange of views. The seminar stimulated a lively debate, with widely diverging views aired.

Three academics who participated in the seminar were invited to contribute comments on the research for the present publication. These were Professor Robert Rowthorn (Faculty of Economics and Politics, University of Cambridge), Professor Stephen Nickell (Institute of Economics and Statistics, University of Oxford) and Mr Anthony Murphy (University College, Dublin) who has also undertaken research on the Catholic/Protestant unemployment ratio, previously published in this series. Professor Rowthorn and Mr Murphy agreed to contribute comments and these are included in the publication.

The views expressed in these papers are the responsibility of the respective authors and should not necessarily be regarded as being endorsed by the Central Community Relations Unit or any Government Department.





PART 1

EVALUATION OF THE RATIO OF UNEMPLOYMENT RATES AS AN INDICATOR OF FAIR EMPLOYMENT


EXECUTIVE SUMMARY

The ratio of Catholic:Protestant unemployment rates has come to play a central role in policy debates concerning fair employment in Northern Ireland. This paper assesses the extent to which the ratio can be considered a valid and reliable measure of the degree of fair employment in the labour market.

The ratio of unemployment rates is only one of many possible measures of the differential labour market position of Protestants and Catholics. In section one of this paper we examine a number of alternatives. One such alternative is the employment gap ­ that is, the difference between a community's share of the labou rforce and its share of the total number of jobs. When the aggregate rate of unemployment is changing over time, the ratio of unemployment rates can only be held constant if the employment gap changes proportionately. In Northern Ireland over the 1971­91 period the ratio of male unemployment rates has remained roughly constant around 25 while male aggregate unemployment has varied between 7% and 21%. In order to maintain such constancy the Catholic employment gap has had to widen or narrow as aggregate unemployment has risen or fallen. Such facts suggest that there must be one or more equilibrating mechanisms that lead Protestant and Catholic shares of the labour force and of jobs to respond to changes in unemployment so as to keep the ratio of unemployment rates roughly constant.

To investigate such mechanisms a dynamic model of the Northern Ireland labour force was developed. This allowed us to simulate the evolution of the ratio of unemployment rates over the period 1971­91. The main findings were that the ratio of unemployment rates is susceptible to the influence of several differences between Catholics and Protestants and that these differences (in rates of labour force participation, population growth, migration, quit rates and disadvantage in hiring) interact in a complex fashion to generate particular values of the ratio of unemployment rates. We found that it was possible to simulate a stable ratio of unemployment rates at the observed 1991 value of 2.2 by setting rates of natural increase in the working­age population, labour force participation, labour turnover and migration at their observed average values for the 1971­91 period, and by setting the degree of Catholic disadvantage in obtaining and retaining employment at a level which closely corresponds to the widely accepted measure of Catholic structural disadvantage (which derives from factors such as location, age and educational qualifications).

These results then point to the following conclusions. The way in which various factors interact to generate the observed ratio of unemployment rates shows that the ratio cannot be used to infer the presence or absence of fair employment. It follows, therefore, that the common practice of deducing, from a high unemployment rate ratio, that discrimination must be the cause is incorrect. In sum, the ratio of unemployment rates is neither a valid nor reliable indicator of the degree of fair employment in the Northern Ireland labour market.






INTRODUCTION

A widely discussed aspect of the relative position of the two communities in Northern Ireland is the persistence of a considerable differential in unemployment rates between Catholics and Protestants. Since it was first identified using data from the 1971 Census of Population the unemployment rate for Catholic men has been approximately 2.5 times greater than the rate for Protestant men. Over the last two decades the ratio of unemployment rates has fluctuated around this total but never deviated far from 2.5 (Table 1).

This approximate constancy in the ratio of unemployment rates at around 2.5 has occurred within the context of increasing overall levels of unemployment. In 1971 the male unemployment rate was 10%, rising to over 20% in the mid­1980s before falling to a level close to 18% in the 1990s. The implication of an increasing overall rate of unemployment and a constant ratio of Catholic: Protestant rates is, of course, a greater absolute increase in the Catholic than in the Protestant unemployment rate.

Table 1: Catholic and Protestant Unemployment

Rates for Males in Northern Ireland

Year
Source
Catholics
Protestants
Ratio
1971
Census
17.3
6.6
2.6
1981
Census
30.2
12.4
2.4
1983­84
CHS
35.8
14.9
2.4
1985­87
CHS
35.5
14.2
2.5
1988­90/1
CHS
27.2
12.2
2.2
1990
LFS
21.7
11.0
2.0
1991
Census
28.4
12.7
2.2
1991
LFS
22.8
9.3
2.5
1992
LFS
24.2
10.1
2.4
1993
LFS
23.1
11.1
2.1


Note: Sources are NI Census of Population, the NI Labour Force Survey (LFS) and the NI Continuous Household Survey (CHS). The Census values are uncorrected for those who do not state a religion. CHS figures are derived from Murphy and Armstrong (1994).

There is a range of explanations of why the ratio of unemployment rates remains so high, although little attempt to explain why it has changed so little. The question of the role played by discrimination in employment has been central to many of these. Smith and Chambers (1991, chapter 4), for example, carried out a logistic regression of the odds of being unemployed using cross­sectional data from the CHS on variables such as age, education and social class which might be expected to influence the likelihood of being unemployed. Also included was a variable measuring religious affiliation. They found that, even controlling for these other factors, the religion variable still had a strongly significant coefficient. From this they concluded that 'Protestant and Catholic men have substantially unequal opportunities for employment in Northern Ireland' (Smith and Chambers, 1991, p196 and p371).

The issue of religious differences in unemployment rates is not simply a matter of academic debate. The ratio of unemployment rates has now come to occupy a central position in regard to policy. During the 1980s, in the run­up to the passage of the much tougher 1989 legislation, the fact that there was no sustained improvement in this figure was viewed as reflecting the failure of the 1976 Fair Employment Act. During that period, for example, the Standing Advisory Commission on Human Rights (SACHR) recommended that government policy in Northern Ireland should aim for:

'a reduction in differential between the male Catholic unemployment rate and the male Protestant unemployment rate from two and a half times to one and a half times within five years. ... The Commission knows of no evidence which demonstrates that this is an impossible goal to achieve' (SACHR 1987, p42)

In short, in this policy debate the two factors ­ the ratio of unemployment rates and the existence of discrimination or the absence of fair employment ­ have become very closely associated. One obvious implication of this is the belief that a situation of fair employment would be reflected in a ratio of unemployment rates equal to one. However, to date the policy debate has not fully examined the validity of that association. The focus of our research, therefore, is firstly an investigation of the extent to which the ratio of unemployment rates can be considered a valid and reliable yardstick with which to measure the degree of fair employment in the labour market. A second aim is to investigate the extent to which differences between the two communities ­ for example in their rates of labour force growth and propensities to migrate ­ are capable of generating both the observed ratio and its stability over time.

In the first section of the paper we examine a number of different ways that might be used to measure the differential position of Protestants and Catholics in the Northern Ireland labour market. Although the ratio of unemployment rates has attained a pre-eminent position, there are many other measures that might be used. These are investigated paying particular attention to the relationship between the ratio of unemployment rates and what we term the 'employment gap' ­ that is, the difference between a group's share of the total jobs and its relative size in the labour market. This proves particularly useful in allowing us to demonstrate the sensitivity of the ratio of unemployment rates to the overall level of unemployment, to differences in the relative sizes of the Catholic and Protestant labour forces, and to the sharing of the available jobs between them. It can be shown that constancy in the ratio of unemployment rates in the face of a fluctuating level of overall unemployment is difficult to maintain, despite being precisely what has been observed in Northern Ireland in the past 20 years. This therefore raises the question of whether there are other mechanisms which ensure this stability.

In our view, this issue can only be examined by taking a dynamic view. The unemployment ratio represents a snapshot of the position of the labour market at a given point in time. Most attempts to explain the rates have been 'cross­sectional' ie also undertaken at a particular point in time. It is our contention that such approaches are inadequate. Any clear explanation of the processes generating unemployment ratios must take direct account of changes over time and hence of labour market flows. These include flows into and out of the working­age population, the economically active, employment and, of course, into and out of unemployment.

The second section of the paper therefore develops a model to show how these labour market flows change over time and how they are related to each other. In this way it is possible to deal explicitly with factors which are usually omitted from the cross­sectional logit analyses and the standardisation methods hitherto applied to this problem. These factors include the difference in rates of population growth between Catholics and Protestants, and differences in the propensity to migrate from Northern Ireland. The approach also allows us to model Catholic disadvantage directly in terms of the chances of gaining and retaining available jobs, instead of indirectly through associations of individual or group characteristics with unemployment. The model is also designed to examine the sensitivity of the unemployment ratio, not only to variations in rates of natural increase in population and to migration but also to variations in labour turnover (both over time and between communities), and to different levels of Catholic disadvantage.

The model is used in the third section of the paper to conduct a series of simulations based on parameters for population growth, employment change and migration derived from the 1971 and 1991 Northern Ireland Censuses of Population. The simulations investigate both the impact of each factor, individually and collectively, and as outlined above the sensitivity of the unemployment ratio to changes in the size of parameters.

Particular interest centres on the extent to which an equilibrium is maintained in or around the observed stable unemployment ratio of 2.5 for males. It is also possible using a model of this type to investigate how important are the initial conditions. For instance, does history make any difference to the long­term equilibrium: ie does it matter whether we start from an unemployment ratio of 2.5 as opposed to (say) unity? Irrespective of initial conditions how long does it take to reach a long­term equilibrium? These are all questions which are important to the understanding of the unemployment ratio and which have not been answered in previous research. Finally, answers to these questions allow us to address the important policy question of how the approaches embodied in the 1989 Fair Employment Act are likely to effect labour market flows, whether they are likely to lead to a reduction in the unemployment ratio and, if so, over what time scale.

This report focuses exclusively on the male labour force. In part this reflects the emphasis that has been placed on the ratio of male unemployment rates in this debate. Nevertheless, many of the points we make are general, concerning the properties of particular measures, rather than specific to either men or women. Finally, the comparison of labour market positions is, strictly speaking, between members of the Catholic community and members of other denominations, but for convenience we usually refer to the latter as Protestant.



SECTION 1: RATIOS OF UNEMPLOYMENT RATES AND OTHER MEASURES

The ratio of unemployment rates has, as we previously noted above, come to occupy a central place in discussions of fair employment in Northern Ireland but the validity of its usage has not thus far been a matter of debate. It is by no means the only way in which the relative positions of the two communities might be compared. We begin, therefore, by examining some alternative measures.

There are two broad approaches to measuring the relative position of the two communities in the labour market: these are ratio measures (which involve division) and difference measures (which are based on subtraction). We discuss a number of each of these with reference to Figure 1 which cross-tabulates community background (Catholic or Protestant) with labour market position (employed or unemployed). The entries in each cell of the table are the symbols that refer to the number in each category.

Figure 1: Community Background and Labour Force Status

At work
Unemployed
Labour Force (Economically Active)
Catholic
Ec
U c
L c = E c + U c
Protestant
Ep
U p
L p = E p + U p
TOTAL
E
U
L



The ratio of unemployment rates is thus:

Uc / Lc

U p / L p

This ratio has the advantages of simplicity, clarity and common usage. The last of these three is especially important. Unemployment rates are continually quoted as a measure of this important problem in 'almost all societies. It is entirely natural that unemployment rates should be compared for different communities within one society as they are in Northern Ireland. It is also natural to express this comparison in ratio form. If the unemployment rate for Catholics is double that for Protestants, this points to an important difference which, on the face of it, merits investigation and a policy response.

A major problem with the unemployment ratio as with all ratios is that they are to an extent 'scale free'. The unemployment ratio can be 2.5 when Protestant unemployment is 1% or 10%. The latter case is of course much more serious than the former, but the ratio remains the same. In practice, public perceptions of the importance of the ratio will tend to take into account the absolute level of unemployment in focusing on the ratio.

A major problem with the unemployment ratio as with all ratios is that they are to an extent 'scale free'. The unemployment ratio can be 2.5 when Protestant unemployment is 1% or 10%. The latter case is of course much more serious than the former, but the ratio remains the same. In practice, public perceptions of the importance of the ratio will tend to take into account the absolute level of unemployment in focusing on the ratio.

Even so, the ratio is easily misunderstood and can mislead. It is not unknown for journalists, for instance, to state that the Northern Ireland unemployment ratio of 2.5 indicates that it is twice as difficult for Catholics, to get a job as for Protestants. This interpretation is wrong, but the mistake is easily made. Similarly, Compton calculates that the Catholic:Protestant unemployment ratio for migrants from Northern Ireland working in Great Britain was also around 2.0 (Compton, 1991), but this was based on very low unemployment rates for both communities.

Although the simplicity of the unemployment ratio will, mean that it will inevitably remain in common usage, its defects suggest that it should be augmented by additional measures, particularly in policy discussions. There are a number of possible contenders for the role of additional measures:

1The employment ratio Ec / Lc
________
Ep / Lp
2Male unemployment/employment odds ratio Uc / Ec
________
Up / Ep
3The unemployment rate difference Uc / Up
________
Lc / Lp
4The employment gap
Ec - Lc
________

E L
or
Ep - Lp
_________

E L

The mathematical properties and inter­relationships of these various measures are outlined in Appendix 1. Further discussion at this point is limited to the employment gap (measure 4).

Given that legislation in Northern Ireland is framed in terms of fair employment we might reasonably seek to measure deviations from 'fair employment' by using an index based on employment rather than unemployment. Here the 'employment gap' is a useful yardstick and one now in use by the FEC. We need to compute this gap for only one of the two communities since the Protestant value will be equal to minus the Catholic value. The measure has a simple interpretation: it tells us the difference between the share of jobs held by members of one community and what that share would be if jobs were distributed between the two communities in proportion to their representation in the labour force. So, if Catholics made up 39% of the labour force and Catholics held 34% of the total jobs, the Catholic gap would be 5 percentage points, and the Protestant gap would be -5 percentage points. If we compare the employment gap measure with the ratio of unemployment rates measure, we see how the ratio is influenced by three factors ­ the overall level of unemployment; the distribution of unemployment as between the two communities; and the relative sizes of the Catholic and Protestant labour forces[1].

The ratio of unemployment rates can be expressed mathematically as a function of overall unemployment and the employment gap or shortfall. The precise equation is given in Footnote 1 with a full derivation in section 3 of appendix 2. The 'employment gap' depends upon the relative sizes of the Catholic and Protestant labour forces and on the sharing of jobs between them.

Two things follow immediately from the mathematical relationship between the two measures. First, given a constant employment gap, an increasing level of overall unemployment will cause the ratio of unemployment rates to fall. For example, suppose that Catholics make up 39% of the labour force and have 34% of the jobs: then the gap is 5 points. If the overall rate of unemployment is 10% the ratio of unemployment rates is 8.2 [2] . But if the overall rate of unemployment were 20% the ratio of rates would fall to 2.25. In other words, a constant Catholic shortfall in employment can yield very different ratios of unemployment rates depending on the overall level of unemployment.[3]

Second, for a given overall rate of unemployment, the ratio of unemployment rates increases as the employment gap increases. So, for example, given a 20% rate of unemployment, a Catholic share of the labour force of 39% and of jobs of 34%, the ratio of rates is 2.25 as we have seen. But if the Catholic share of jobs falls to 32% the employment gap increases to 7 points and the ratio increases to 3.18. Alternatively if the Catholic share of the labour force increased to 41%, once again yielding a gap of 7 points, the ratio of unemployment rates would be similar at 3.20.

This example shows that increasing the employment gap increases the ratio of unemployment rates, but it also illustrates that the gap can change because of two factors. The Catholic proportion of jobs can alter or the Catholic share of the labour force can change. The numerical example above suggests that the ratio of unemployment rates is a little more sensitive to a change in the share of the labour force rather than a change in the share of jobs, although the difference is small.


Constancy Over Time of the Ratio of Unemployment Rates

We have noted that, given a constant employment gap, the ratio of unemployment rates will be sensitive to the overall rate of unemployment. The ratio will be greater when overall unemployment is lower, other things being equal. This relationship is shown graphically in Figure 2, based on a Catholic share of the labour force of 39%. The five lines shown on the graph illustrate unemployment ratios, for different Catholic shares of jobs ranging from 34% to 38%. These correspond to employment gaps of 5 to 1 percentage points. Figure 2 shows how the ratio of unemployment rates (on the vertical axis) depends upon the overall unemployment rate (on the horizontal axis). To take an extreme case from the figure; if the gap were 5 percentage points, the ratio of unemployment rates would be just over 4 with an overall unemployment rate of 13%. The ratio would fall to just under 2 if the aggregate unemployment rate increased to 24%

Figure 2: Ratios of Unemployment Rates under different rates of
unemployment and employment gaps
(Catholic share of labour force fixed at 39%)



Since the aggregate male unemployment rate in Northern Ireland has been as low as 7% and as high as 21% over the last two decades, it is surprising that the unemployment differential for males appears to have remained stable at a level close to 2.5. In order to maintain a stable unemployment differential with varying aggregate unemployment, it is clear from Figure 2 that the employment gap has to change in precise ways which offset the tendency for the unemployment differential to rise above, or fall below, the 2.5 level. In other words one must jump from curve to curve in Figure 2 to maintain a stable unemployment rate ratio as aggregate unemployment changes.

An aggregate unemployment rate for males of 7% would for instance require a Catholic employment gap of the order of 1.5 percentage points in order to maintain a stable unemployment ratio of 2.5. The 1.5 percentage point employment gap could have been generated by a Catholic employment share of 37.5% combined with a share of the economically active at 39%. Alternatively, if the share of employment had been 34% the share among the economically active would have needed to be 35.5%. Other alternatives are intermediate figures for both shares.[4]

To maintain a stable unemployment ratio one of two things (or some combination of the two) must occur when aggregate unemployment falls. Catholics must increase their share of employment and/or the Catholic share of the economically active must fall. Conversely, if aggregate unemployment rises, constancy in the ratio can be maintained by a decline in the Catholic share of employment and/or an increase in the Catholic share of the labour force.

To the extent that the stable ratio of unemployment rates is maintained by changes in the Catholic share of the labour force, this would necessitate the Catholic share increasing as the labour market worsens (ie as the overall rate of unemployment increases) and decreasing as matters improve. This may seem counter­intuitive, but it need not be if we remember that it is shares that we are focusing on, not absolute numbers. If Protestant migration or participation rates are more sensitive than Catholic rates to unemployment we might indeed find that the Catholic share of the labour force was positively correlated with the unemployment rate. So, for example, if Protestants are more likely than Catholics to join the labour force when unemployment falls and leave when unemployment rises this would give rise to just such an effect.

On the other hand, to the extent that the stable ratio is maintained by changes in the Catholic share of jobs this implies that Catholic employment must be more sensitive to the overall condition of the labour market than is Protestant employment. If worsening economic conditions lead to a proportionately greater loss of jobs among Catholics and if improving conditions lead to proportionately greater Catholic job gains, this will act to stabilize the ratio of unemployment rates in the face of changes in the unemployment rate.

Over the period 1971­91 a relatively stable ratio was maintained by increases in the Catholic share of both employment and the labour force. In the circumstances of a rise in aggregate Northern Ireland unemployment it was thus necessary for the Catholic share of the labour force to increase by a greater amount than the Catholic share of jobs. This was in fact what happened. The labour force share rose by 13%, while the share of jobs increased by 8%. These changes were sufficient to result in a 70% expansion in the employment gap (from 2.7 percentage points in 1971 to 4.6 percentage points in 1991). This almost matched the 87% rise in the employment rate and the unemployment ratio remained above 2.0.

Although it is possible to observe the components of the change in unemployment in the statistical sense shown in the previous paragraph the underlying reasons for the observed stability in the unemployment ratio remain deeply puzzling. Given the huge changes in the composition of employment in Northern Ireland in both public and private sectors over the last two decades, as well as the introduction of fair employment legislation it is hard to see how a stable ratio can have been maintained without the presence of strong balancing mechanisms in the labour market. It is to these that we turn in the next section.


Conclusions to Section 1

Given that legislation in Northern Ireland is framed in terms of fair employment it may be more reasonable to employ a measure based on employment rather than unemployment. One such measure, which is easily computed, we term the employment gap, being the difference in the percentage of the labour force who are Catholic and the percentage of those in jobs who are Catholic. This tells us the percentage point gap between the actual percentage of jobs held by Catholics and the percentage that would be held by Catholics if jobs were held by Catholics and Protestants in proportion to their representation in the labour force.

The ratio of unemployment rates was shown to depend upon both the overall rate of unemployment and the magnitude of the employment gap. If the employment gap is held constant, then small changes in overall unemployment will generate large changes in the Catholic: Protestant unemployment rate ratio. If on the other hand, the overall rate of unemployment is held constant, changes in the size of the employment gap will cause the ratio to change approximately proportionately.

The ratio of unemployment rates has remained roughly stable over the period 1971­1991 while the aggregate rate of unemployment has fluctuated considerably. This implies that changes in the employment gap must have compensated for variations in overall unemployment. In other words, the Catholic and Protestant share of the labour force must have shifted and/or the distribution of the available jobs between the two communities must have altered such that the net effect was to preserve the employment gap at a level that stabilized the ratio of unemployment rates.

In practice the Catholic labour force share rose by more than the job share. The mechanisms for achieving this are currently unknown and it is difficult to imagine how such stability in the unemployment ratio could be maintained. The next section constructs a model of labour market flows to investigate this question.

Return to Publication Contents



SECTION 2: MODELLING THE DYNAMICS AND SENSITIVITY OF THE RATIO OF UNEMPLOYMENT RATES

The ratio of unemployment rates is one of several possible measures of the relative labour market position of Protestants and Catholics. In common with the other measures listed in section 1 it is a summary measure in that it is the result, manifested at a particular point in time, of a set of processes that operate through time. These processes involve the hiring and firing of labour by employers, the movement of people into the labour market (particularly the entry of school leavers, for example) and out of it (through retirement, emigration or death) and so forth. In this section we express the ratio of unemployment rates as an explicit function of these processes in order to examine how sensitive it is to them. We do this by building a relatively simple model of the Northern Ireland labour market which allows us to examine the sensitivity of the ratio of unemployment rates to factors such as:

-differential rates of labour force growth as between the two communities;
-differential rates of net migration; differential rates of labour turnover;
-different levels of success between communities in gaining available jobs;
-different rates between communities in leaving employment (quit rates).

A Model of the Northern Ireland Labour Force, 1971­1991

The purpose of our model of the Northern Ireland labour force is to allow us to reproduce, using computer simulations, the known facts about the labour market status of the two communities over the period 1971 to 1991. The most important of these facts is, of course, the evolution of the ratio of Catholic: Protestant unemployment rates. By changing the values of the various parameters of the model, we explore what would have happened given certain counter factual assumptions. For example, it is possible to ask what would have happened to the ratio of unemployment rates had the growth rates of the Protestant and Catholic labour forces been the same over the period 1971­1991 rather than, as was actually the case, considerably different.

The model is simple but is based on a complete accounting of changes in the number of Catholics and Protestants in the different parts of the labour market. The model, which is described in Figure 3, is for the most part a series of accounting identities incorporating only a minimal number of behavioural relationships[5]. This is important in preserving clarity and avoiding controversy over the correct specification of the behavioural relationships. Our aim is to make the structure of the model as uncontroversial as possible.

Population and Migration

The starting point is the growth in the working­age populations of Catholics and Protestants in Northern Ireland. This growth is identically equal to natural increase plus migration. Migration flows are modelled as having two components. These are a constant annual flow and a flow whose magnitude depends on the gap in unemployment rates between each community in Northern Ireland and the average for Great Britain over the period 1971­91. In other words, some part of migration is constant, regardless of economic conditions, while the balance rises or falls depending on the size of the gap in unemployment rates between each community and the average Great Britain rate. One important aspect of the model as specified in this paper is that migration responds to each community's own unemployment rate. Catholic migration thus reflects Catholic unemployment in Northern Ireland, and Protestant migration reflects Protestant unemployment (Figure 3). The alternative is that migration for both communities would simply respond to the aggregate unemployment rate in Northern Ireland as a whole.

Our preference for community unemployment rates is based on a view that these will be most relevant in the migration decisions of individual Catholics or Protestants in Northern Ireland. Four factors in support of this view are:


(i) Most residential areas and many workplaces in Northern Ireland are substantially segregated by religion. The labour market experiences of family, friends, neighbours and colleagues at work will often be those of the same community.
(ii) A substantial minority of migrants leave Northern Ireland directly from school. Their view of labour market conditions in Northern Ireland is quite likely to be based on the experiences of their own community.
(iii) Most labour market areas are dominated by one community. Almost 80% of Protestants live in the Belfast, Ballymena and Craigavon travel­to­work areas. The local unemployment rates in these areas are close to the average Protestant rate for Northern Ireland. Similarly, Derry, Strabane and Newry travel­to­work areas have 70% Catholic populations; and have unemployment rates close to the average for all Catholics in Northern Ireland.
(iv) The experience of unemployment is one important signal to individuals that jobs are in short supply. This experience as we know differs sharply between Catholics and Protestants.


Running counter to these points is the argument that individuals may be little affected by the labour market experiences of those around them. Instead individuals may seek jobs through the normal means, and under conditions of fair employment any difficulties encountered in gaining jobs should reflect the labour market context irrespective of the religion of the applicant. In some cases the labour context will be Northern Ireland as a whole. In other cases it will be a more localised labour market.

Although the choice of unemployment rate for the migration equation does not affect the broad conclusions, it can alter the relative importance of factors determining the unemployment ratio. The consequences of using the aggregate unemployment rate for Northern Ireland are discussed in appendix 5.

Labour Force and Employment
The labour force is then identically equal to the working­age population multiplied by the participation rate. Total employment in Northern Ireland is exogenously determined, independent of any changes in the labour force or in unemployment. In the model it is set to reflect the average annual decline in jobs in Northern Ireland over the 1971­91 period.

The way in which the total number of jobs is shared between the two communities lies at the heart of the model. A proportion of people at work leave their jobs each year. In practice this rate of labour turnover, or 'quit rate' as we call it for convenience, is around 10% pa and there is evidence that it is a little higher for Catholics than for Protestants (Murphy, 1991).

Figure 3: The Model
The model consists of four equations each for Catholics and Protestants. For brevity only the equations for Catholics are shown below. The equations show changes from year t­1 to t.
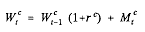
1 Working­Age Population:
where Wc is the Catholic working­age population
rc is the rate of natural increase of the Catholic working­age population
Mct is net annual migration of Catholics
In words the working­age population in year t is equal to its value in the previous year times the rate of natural increase and plus or minus the total amount of migration.
2 Labour Force:
where Lct is the Catholic labour force in year t
pct is the Catholic participation rate in year t
In words the labour force is equal to the working­age population times the participation rate.
3 Migration:
where Mct is the total Catholic net migration in year t
uct is the unemployment rate for Catholics
uGB t is the unemployment rate in GB
c is the Catholic propensity to migrate
Mck is a constant number of migrants leaving irrespective of economic conditions
In words, the net number of migrants is equal to a constant, c, times the gap between the local unemployment rate and that in GB.
4 Employment:
where Ect is the number of employed Catholics
Et is total employment in NI
q is the quit rate
S is the share of available jobs going to Catholics
w is the growth rate in the number of jobs
is a disadvantage parameter measuring the proportion of the 'fair' share 'S' of jobs which is actually attained.
In words, Catholic employment equals the number of Catholics employed in the previous year who remain in their jobs (adjusted for growth or decline in the number of jobs) plus a share 'S' of the total number of 'free' jobs in the economy. 'Free' jobs are those which have been vacated over the previous year, adjusted for the rate of growth of jobs.
In this model the total number of jobs in any year, Et is treated as exogenous, ie it is not dependent on growth in the labour force, on migration or on anything else in this system.
The share of free jobs gained by each community can be determined in a number of different ways, as outlined below. Our preference is that the shares should reflect the number of job seekers (ie school leavers, unemployed and job leavers) in each community with some allowance for the different probabilities of each group being successful in gaining jobs. Finally:


These vacated jobs are then filled by Catholics and Protestants, according to some sharing mechanism which we denote 'S' in Figure 3. We can specify the nature of this sharing mechanism in a number of different ways. For example, one way that such vacant jobs might be shared is in proportion to the sizes of the Protestant and Catholic labour forces or in proportion to the numbers of unemployed Catholics and Protestants. In the model our preference is to use the most realistic sharing mechanism in which we assume that available jobs are gained in proportion to the numbers of Catholic and Protestant job seekers. The possible sharing mechanisms are discussed in more detail below.

As well as individuals moving out of jobs, new jobs may also be created and jobs may disappear (for example through company closures). This is reflected, of course, in the net change in the number of jobs, which, as we noted earlier, has been, on average, negative over this period (that is, jobs lost have exceeded jobs created). In the model it is assumed that the net jobs lost in each community have been proportional to existing employment.[6]

Lastly, the number unemployed is simply equal to the difference between the number in the labour force and those in employment.

Identities and Behavioural Relationships
As outlined above, this model is based on simple accounting approach to the labour market (preserving necessary identities) which incorporates only a minimum of behavioural assumptions. Each of the equations is close to an identity[7] and the parameters that we use are drawn from the reality of observed changes between 1971 and 1991.

The equations for working­age population, labour force and the numbers of unemployed are each simple identities. The migration equations are identities if the response parameter is determined simply by the data. In practice, this parameter is estimated in this way in the base model. However, it is later varied to investigate the impact of different assumptions about the response of unemployment to migration. Once any part of the model departs from the observed accounts of the 1971­91 period then this migration equation changes from an identity to a behavioural relationship.

In the case of the migration equation this is due to our assumption that migration will respond to changes in unemployment. Such a behavioural assumption should be uncontroversial since econometric migration equations for Northern Ireland, GB regions and Ireland all demonstrate that this is a key relationship (Gudgin and O'Shea, 1993, Jackman and Savouri, 1992, Walsh, 1974). A range of other factors including wage differentials and levels of violence also influence migration, but these can realistically be regarded as constant, ie unvarying, in a model in which the total size of labour force and total employment do not vary between simulations.

This latter property of the system is important. The total number of economically active people, the total employed and hence the total number of unemployed are all specified exogenously, and change in line only with the average annual changes observed in Northern Ireland between 1971 and 1991. The levels of each of these variables in 1971 and 1991 are taken from the Censuses of Population in those years.

This is important because a full economic model would normally include one or more equations relating employment to local demand and hence local population. Once again, to avoid any controversy on the nature of such a relationship we have simply taken the observed levels of each variable in 1971 and 1991 and the average change between these years. Whatever the nature of the true relationship between total employment and total population it should be captured by these approximations to the actual data. Also, since we are not interested in predicting annual fluctuations in employment (or indeed in any of the other variables) it is unnecessary to be specific about the implicit behavioural relationships.

The separate employment equations for Catholics and Protestants sum to the exogenous total for overall employment. These individual employment equations are also close to identities. They simply state that Catholic (or Protestant) employment is equal to the number of Catholics (or Protestants) who retain their jobs from the previous year plus a share 'S' of the available jobs in the current year. If the parameter 'S' is determined strictly by the data then the equations are close to identities. It is only when we fix or vary 'S' that these equations become behaviourial relationships.

In the model we initially determine 'S' to be equal to the proportion of Catholics (or Protestants) among the total volume of job seekers. Later the value of this share parameter 'S' is varied to examine the impact of departures from strict proportionality on the basis of numbers of job seekers.


Labour Market Parameters 1971­91

The starting point in each of a series of simulations using the model is the position in 1971. Using the census of that year and the census of 1991, adjusting for non­response to the religion question,[8] we can recover a number of known facts about the labour market at the start and the end of the period 1971­91. These concern the size of the working­age population and of the labour force, the number in employment, and the number unemployed. These are summarised in Table 2. For illustrative purposes we concentrate on the male labour market in which the unemployment differential has always been much larger than for females.

It is also possible to deduce from the two censuses the levels of migration for Catholics and Protestants over the period. These figures are summarised in Table 3, and the methods used to derive them are discussed in detail in appendices 5 and 6. In order to compute migration over the period we first have to calculate the ex­ante growth in the population of working­age. This is the natural increase in the working­age population or, in other words, the increase that would have occurred in the absence of migration. We estimate this by aging the known population in 1971 from 1971 to 1991 and adjusting for mortality. The precise details are to be found in appendix 6. The results are reported in Table 3 which shows a natural increase 1971­91 for the Catholic working­age population of 61.3% (2.4% pa) compared with 21.9% (1% pa) for Protestants. A comparison of the natural increase with the actual change in working­age population permits a calculation of migration. The average annual migration rate for Catholics is calculated as 1.15% pa (Table 3). The equivalent figure for Protestants is 0.77% pa.

The actual Catholic migration rate over the period was thus half as large again as the Protestant rate. Despite this the sensitivity of Catholic migration to Catholic unemployment was lower than for Protestants. Our estimate in the model is that the sensitivity for Catholics was one­third of that for Protestants. (However, this is not true of course if the overall Northern Ireland unemployment rate is used in conjunction with migration. In this case the sensitivity of Catholic migration to unemployment is 20% larger than for Protestants).

The participation rates for 1971 and 1991 (the proportion of those of working­age population who are in the labour market) can be obtained quite simply by dividing the labour force in a particular year by the net working­age population. From this we can compute the annual average rates of change in the participation rate, which has declined over the period for both Catholics (from 92.6% on 1971 to 81.9% in 1991) and Protestants (from to 95.8 to 86.8%).

As can be seen from Table 2 the salient characteristics of the period are firstly that the Catholic population and labour force expanded much faster than their equivalents. Although male employment contracted for both communities the contraction was much greater in the case of Protestants. (We can note in passing that female employment expanded rapidly for both communities, but the expansion was much faster for the Catholic community, Gudgin (1994b)). The result of these changes was a similar percentage increase in the numbers unemployed. However, the Protestant unemployment rate was much lower throughout the period.

Table 2: Salient Characteristics of the Northern Ireland
Male Labour Market 1971­91 (Thousands)

Roman
Catholic
Other
Denominations
Total
Working­age Population
1971
147.7
278.2
425.9
1991
188.9
290.5
479.4
% change
27.9
4.4
12.6
Economically Active
1971
136.5
266.5
403.0
1991
152.5
247.1
399.6
% change
11.7
­7.3
­0.8
Employed and self-Employed
1971
112.8
248.6
361.4
1991
108.2
214.1
322.3
% change
­4.1
­13.9
­10.1
Unemployed
1971
23.7
17.9
41.6
1991
44.3
33.0
77.3
% change
86.9
84.4
85.8


It is these facts that we reproduce in the model described above. This is achieved by starting with the known 1971 values and choosing parameters for the model which reproduce the 1991 values. Particular interest focuses on that set of parameters which is necessary to simultaneously reproduce both the employment levels in 1991 and the observed unemployment ratio of 2.2.

The final labour market parameters are the average annual rates at which Catholics and Protestants vacate jobs (rates of labour turnover or quit rates): these are set at 9.6% of those in jobs among Protestants and 11.4% for Catholics. These values are based upon analysis of the NI Labour Force Survey undertaken by Murphy, (1991).

Table 3: Population Changes and Migration 1971­1991
Thousands (% in parentheses)

Roman
Catholic
Other Denominations
Total
Estimated Natural Increase in Population of Working­age
90.5 (61.3)
60.9 (21.9)
151.4(35.5)
Actual Change in Population of Working-age
41.2 (27.9)
12.3 (4.4)
53.5 (12.6)
Difference (Net Out Migration)
49.3 (33.4)
48.6 (17.5)
97.9 (23.0)
Annual Average Rate of Net Out Migration 1971­91
1.15%
0.77%
0.92%



Share Parameters in Employment Equations

In our model the number of jobs held by each community changes over time because of two factors. First there is the turnover in employment: people leave jobs (for whatever reason) thus freeing vacancies for others to fill. Hence, if all the jobs vacated by both Catholics and Protestants each year were taken by Catholics, for example, then the distribution of jobs would come to favour Catholics and the ratio. of unemployment rates would fall. How quickly this would happen would depend on the turnover rate. Second, however, the number of jobs declined over the period 1971­91, as we have seen. We include this in our model by assuming that these net job losses are shared by each community in proportion to the number of jobs they hold.

In other words, in each year a number of jobs (equal to the total number of jobs vacated adjusted for overall net job loss) are available to be taken by Catholic and Protestant job seekers. The emphasis then falls on the way in which these available jobs are distributed.

As outlined above there are several simple sharing mechanisms that might be considered. For example, we might allow vacant jobs to be shared as between Catholics and Protestants according to their relative representation in the labour force or according to their representation among the unemployed. Because the relative sizes of the two communities differ with respect to each of these groups, which assumption we use will differently determine the share of available jobs going to each. For example, the Catholic share of the total labour force is less than the Catholic share of the unemployed. So, if shares of the unemployed are used as the basis on which to allocate vacancies the ratio of unemployment rates will, all other things equal, fall more quickly than it would if we allocated jobs proportionate to shares of the labour force. But in the long run (and all other things equal) the outcome will be approximately the same under any job allocation mechanism since they will tend to the equalisation of unemployment rates and any differences between the two communities will then be the result of different rates of labour turnover and of labour force growth.

The more complex and, we believe, more realistic sharing mechanism used in the model has two parts. The first of these concerns the different sorts of job seekers in the labour market, of which we can identify three: those who have just vacated a job as a result of the process of labour turnover; those who have just entered the labour market through the growth in the size of the labour force; and those who are unemployed. Together these three groups comprise the total of what we call job seekers[9]. A simple assumption would be that all three groups have the same relative chance of getting a job, but it is probably more realistic to assume that the chances of getting a job are better for those who have just left a job (not least since they may have left a job in order to take up a new one), followed by new entrants to the labour force, with the unemployed (some of whom may have been without work for a very long time) having, on average, the lowest chance of getting a job. In our simulations we assume such differential chances of acquiring a job in the ratio of 50:33:25, although in practice our results are fairly insensitive to whatever reasonable choice of differential chances we make.[10]

The second factor to be taken into account in modelling the distribution of jobs concerns differences between Catholics and Protestants. Note that by assuming differential chances of acquiring an available job as between different types of job seeker we will already have introduced some difference in the average chances of Protestants and Catholics acquiring jobs since they will be differently distributed over these three categories (a larger proportion of Catholics will be unemployed or new entrants to the labour force and a larger proportion of Protestant job seekers will be job leavers). The question we need to address, now, however, concerns the modelling of an explicit difference in the job acquisition chances of the two groups, captured in a parameter of the model. We call this the 'Catholic disadvantage in hiring' parameter (denoted as in Figure 3). This measures the degree to which, allowing for differences in the distribution of Catholics and Protestants over the three categories of job seeker, Catholics are at a disadvantage in getting one of the available job vacancies. When = 1 there is no such disadvantage: Catholics are allocated jobs according to their share of job seekers, differentially weighted as described earlier: in other words, according to 'S'. By setting to a value less than unity we can permit different levels of Catholic disadvantage, such that they acquire a smaller share of jobs than 'S' alone would give them.

A number of possible interpretations might be placed on a value of this parameter which reflected Catholic disadvantage, of which the absence of fair employment is an obvious candidate. However, if members of the Catholic and Protestant communities have, on average, different levels of skills or education, then this should be reflected in their probability of getting a job. In other words, if on average, Catholics and Protestants differ in terms of job­relevant characteristics, then this parameter should capture the effect of these legitimate differences.

It is well known that factors such as age, education, location, and so on are associated with the chances of having a job and also that Protestants have, on average, more favourable scores than Catholics on such measures (Smith and Chambers, 1991, Murphy and Armstrong, 1994, Gudgin, 1994a). Thus we should expect that some degree of Catholic disadvantage in the sharing of vacant jobs would be present on this basis alone.

In practice the disadvantage parameter '' is a value that can be changed in different simulations to see what might have happened under different sharing assumptions. Note that we do not change the sharing mechanism 'S' which is proportional to the different categories of job seeker, but we do change the Catholic disadvantage parameter. In particular, of course, we can set this to a value that we believe reflects differences between the two communities in their average levels of job relevant skills and experience etc. It can also be set to other values including a value of unity indicating no difference between the two groups in order to see whether this will lead to equal rates of unemployment. One aspect of particular interest in this parameter is whether settings which imply no discrimination (although not an absence of disadvantage) can still generate large differences in unemployment between Catholics and Protestants.

To summarise thus far: in our model the number of jobs available each year depends upon rates of labour turnover and the overall rate of change in the total number of jobs in the economy as a whole. The way in which the available jobs are then shared between Catholics and Protestants is the central feature of the model. We assume that jobs are gained in proportion to the number of people seeking work. Different categories of job seeker, within both communities, are further assumed to have different chances of getting a job. Thus far the model operates on principles of proportionality, but to investigate disadvantage or discrimination we also include a parameter that explicitly captures community differences in the chances of getting a vacant job.


A Model of the Northern Ireland Labour Force Survey

The workings of our model can be summarised quite simply. We work in time units of one year, and start with the observed numbers of Catholics and Protestants in each part of the labour market in 1971. The annual changes are then calculated for the succeeding 20 years.

The change in the numbers of economically active Catholics and Protestants depends on three factors: these are the rates of natural increase of the working­age population, the annual number of migrants, and the labour force participation rates. The first and third of these enter the model in the form of the annual average rates, while migration is modelled as responsive to two factors ­ the differential in unemployment rates between each community and the average Great Britain rate; and the propensity of each community to migrate.

The composition of the economically active population between the employed and unemployed is determined through changes in employment. Unemployment is a residual between the economically active and the employed. To calculate the numbers of employed Catholics and Protestants at the end of each year we assume that at the start of a given year there are three groups among both Protestants and Catholics: those in a job; the unemployed; and new entrants to the labour force. Among the employed a proportion (determined by the group's rate of labour turnover) leave their jobs each year and the number of jobs available to be filled in the same year is a function of both this and of the annual change in the total number of jobs. These vacant jobs are then allocated according to a sharing mechanism that differentiates three kinds of job seeker - those who have left a job in the same year; new entrants to the labour force in the same year; and the unemployed. The form of the sharing mechanism used in the model also gives different probabilities of acquiring one of these available jobs to Protestants and Catholics.

This model is quite complex and it is difficult to solve the model equations analytically unless we introduce some simplifying assumptions. An example of some simplifying assumptions that lead to a more tractable solution is given in appendix 4. We therefore solve the model numerically in a series of simulations of the behaviour of the ratio of unemployment rates in order to see the effect of changing parameter values. One reason why the model is complex is that the equations for the Catholic and Protestant labour forces are not separate. As we should expect, what happens to the Catholic unemployment rate is influenced, to some extent, by what happens to the Protestant labour force, and vice­versa. So, for example, an increase in the size of the Catholic labour force will affect the Catholic unemployment rate in several ways, but it will also affect the Protestant unemployment rate, given that the number of new entrants to the labour force in each group is one of the elements that goes to determine how vacant jobs are shared between the two communitits.

Return to Publication Contents

© CCRU 1998-1999
site developed by: Martin Melaugh
page last modified:
Back to the top of this page